当前位置: 首页 > 期刊 > 《广东药学院学报》 > 2000年第3期
编号:10287423
(2-氧)-1-吡咯烷乙酰胺衍生物的合成
http://www.100md.com 《广东药学院学报》 2000年第3期
     作者:张万金 王尔华

    单位:张万金(广东药学院药物化学教研室,广东 广州510224);王尔华(中国药科大学)

    关键词:合成;促智药;吡咯烷酮衍生物

    广东药学院学报000302

    摘 要 以2-吡咯烷酮为母体化合物,设计合成了7个(2-氧)-1-吡咯烷乙酰胺衍生物,其中6个未见文献报道,其结构经元素分析、红外光谱、质谱、核磁共振氢谱及理化性质确证。

    中图号 R914.5 文献标识码:A

    文章编号:1006-8783(2000)03-0177-04

    Synthesis of (2-Oxo)-1-pyrrolidineacetamide Derivatives
, http://www.100md.com
    ZHANG Wan-jin

    (Guangdong College of Pharmacy, Guangzhou,Guangdong 510224)

    WANG Er-hua

    (China Pharmaceutical University)

    Abstract With 2-pyrrolidone as a lead compound, 7 derivatives of (2-oxo)-1-pyrrolidineacetamide were designed and synthesized,with 6 of them newly reported.Their structures were confirmed by elemental analysis,IR,MS spectra and 1HNMR.
, 百拇医药
    Key words synthesis;nootropics;pyrrolidone derivatives

    1 引言

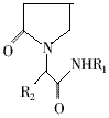
    2-吡咯烷酮,即环合的γ-氨基丁酸,是人类大脑中的一种内源性物质,其本身或其代谢物在改善智力方面起着一定作用。据文献报道,一些吡咯烷酮衍生物具有促智活性,有的已开发成促智药在临床上应用[1]。对它们的构效关系研究表明:吡咯烷酮是主要的药效基团,羰基处于2位活性更强;立体专一性异构体起着更重要的药理作用[2]。故此,我们设计了7个衍生物,其中3个为(2-氧)-1-吡咯烷乙酰胺衍生物,4个具有α-甲基-[(2-氧)-1]-吡咯烷乙酰胺结构,其结构通式如图1。

    图1 化合物结构通式
, http://www.100md.com
    R1基团的引入可提高亲脂性,文献所报道的系列化合物中,R1为烷烃的化合物较多,且促智活性较弱,R1为芳烃的化合物活性较好;R2为H或CH3,当R2=CH3时,可提高化合物的亲脂性,并产生光学异构体。

    文献报道该类化合物的合成方法有如下两种:

    我们设计了新的第三条合成路线,如下: (1)
, 百拇医药
    三条路线相比,路线1具有酯水解纯化的麻烦;若采用路线2,每合成一个化合物均需从第一步做起;采用路线3,可先制备中间体(1),然后让不同的胺与中间体(1)缩合,尤其在合成大量新化合物时,路线3具有减少操作、省却酯水解纯化的麻烦。故此,我们采用路线3合成目标化合物。2 实验部分

    熔点用毛细管法测定(温度计未经校正)。红外光谱仪为Perkin-Elmer983,固体KBr压片,元素分析仪为Carlo Erba elemental analyzer-MOD 1106;质谱仪为ZAB-HS mass Spectrometer。核磁共振仪为Jeol F ×Q (300 MHz) NMR Spectrometer,以四甲基硅烷(TMS)为内标。

    2.1 (2-氧)-1-吡咯烷乙酸(2)的制备

    氢化钠4.0 g(60%纯度,0.1 mol)加入到无水四氢呋喃150 mL中,搅拌下加入(2-氧)-1-吡咯烷酮8.5 g (0.1 mol),室温下反应至无氢气放出为止,约1.0 h。然后将氯乙酸钠12.0 g(0.1 mol)加入到上述反应液中,以2 mol/L盐酸调节pH至2~3,析晶,滤取结晶,烘干,得白色晶体7.3 g,收率51.0%,mp 134~136 ℃。
, 百拇医药
    2.2 (±)α-溴丙酸(3)的制备

    将丙酸7.4 g(0.1 mol),干燥溴17.5 g(0.11 mol),三氯化磷1.5 mL置于圆底烧瓶中,50 ℃反应2 h,然后升温至100 ℃反应,直至溴的颜色全部消失,约2.5 h。水泵抽去溴化氢和低沸物,然后用油泵收集100~102 ℃/15 mmHg馏分,得产品13.0 g,收率85.0%。

    2.3 (±)α甲基-[(2-氧)-1-]吡咯烷乙酸(4)的制备

    氢化钠4.0 g(60%纯度,0.1 mol),加入到无水四氢呋喃150 mL中,搅拌下加入2-吡咯烷酮8.5 g(0.0 mol),室温下反应至无氢气放出为止,约1.0 h。然后将(±)α-溴丙酸的钠盐17.5 g加入到上述反应液中,加热回流16 h,抽滤,滤饼溶于50 mL水中,以2 mol盐酸调节pH至2~3,析晶、抽滤、固体烘干,得白色晶体7.5 g,收率48.0%,mp 127~129 ℃。
, http://www.100md.com
    2.4 N-(2,4-二氟苯基)-2-[(2-氧)-1-吡咯烷]乙酰胺(5)的制备

    化合物(2)1.57 g(0.011 mol),2,4-二氟苯胺1.29 g(0.01 mol),DCC 2.06 g(0.01 mol),纯氯仿10 mL,混合搅拌,加热回流3 h,冷却过滤,滤液旋转蒸干,残余固体加水5 mL重结晶,得白色晶体1.90 g,收率74.8%,mp 162~164 ℃。IR(KBr)νcm-1:3275(-NH),1707,1673(-C=O)。1HNMR(CDCl3),δppm:8.48(s,1H,-NH-),8.14(m,1H,Ar-C3-H),6.86(m,2H,Ar-C4-H,Ar-C5-H),4.09(d,2H,-N-CH2-C=O),3.65(m,2H,5-CH2),2.45(m,2H,3-CH2),2.11(m,2H,4-CH2)。HRMS,m/z:Formula mass (254.085260),Formula(19F2,16O2,14N2,12C12,1H12),254(M+),126(),98(基峰,)。
, 百拇医药
    2.5 N-(3-溴苯基)-2-[(2-氧)-1-吡咯烷]乙酰胺(6)的制备

    化合物(2)1.57 g(0.011 mol),间溴苯胺1.71 g(0.01 mol),DCC 2.06 g(0.01 mol),纯氯仿10 mL,混合搅拌,加热回流3 h,冷却过滤,滤液旋转蒸干,残余固体加水5 mL重结晶,得白色晶体2.0 g,收率66.5%,mp 155~157 ℃。元素分析C12H13N2O2Br,理论值(%):C 48.49,H 4.38,N 9.43;实测值(%):C 48.71,H 4.53,N 9.77。IR(KBr)νcm-1:3272(-NH),1704,1673(-C=O)。1HNMR(CDCl3)δppm:8.93(s,1H,-NH),7.78(d,1H,Ar-C2-H),7.37(d,1H,Ar-C6-H),7.10~7.26(m,2H,Ar-C4-H,Ar-C5-H),4.07(s,2H,-N-CH2-C=O),3.60(t,2H,5-CH2),2.47(t,2H,3-CH2),2.11(m,2H,4-CH2)。EI-MS,m/z:296(M+),298(M++2),126(基峰,),98()。
, http://www.100md.com
    2.6 N-(3-甲氧基苯基)-2-[(2-氧)-1-吡咯烷]乙酰胺(7)的制备

    化合物(2)1.57 g(0.011 mol),间氨基苯甲醚1.23 g(0.01 mol),DCC 2.06 g(0.01 mol),纯氯仿10 mL,混合搅拌,加热回流3 h,冷却过滤,滤液旋转蒸干,残余固体加水5 mL重结晶,得白色晶体1.80 g,收率72.5%,mp 132~133 ℃。元素分析C13H16N2O3,理论值(%):C 62.90,H 6.45,N 11.29;实测值(%):C 63.11,H 6.49,N 11.49。IR(KBr)νcm-1:3280(-NH),1668(-C=O)。1HNMR(CDCl3)δppm:8.86(s,1H,-NH),7.27(s,1H,Ar-C5-H),7.17(t,1H,Ar-C6-H),7.02(d,1H,Ar-C2-H),6.64(q,1H,Ar-C4-H),4.07(s,2H,-N-CH2-C=O),3.77(s,1H,-OCH3),3.57(t,2H,5-CH2),2.45(t,2H,3-CH2),2.09(m,2H,4-CH2)。EI-MS,m/z:248(M+),249(M++1),126(基峰,),98()。
, 百拇医药
    2.7 (±)N-(3-甲氧基苯基)-2-[(2-氧)-1-吡咯烷]丙酰胺(8)的制备

    化合物(4)1.73 g(0.011 mol),间氨基苯甲醚1.23 g(0.01 mol),DCC 2.06 g(0.01 mol),纯氯仿10 mL,混合搅拌,加热回流3 h,冷却过滤,滤液减压蒸干,残余固体加水5 mL重结晶,得白色晶体1.80 g,收率68.7%,mp 109~111 ℃。元素分析C14H18N2O3,理论值(%):C 64.12,H 6.72,N 10.45;实测值(%):C 64.04,H 6.96,N 10.85。IR(KBr)νcm-1:3269(-NH),1689,1663(-C=O)。1HNMR(CDCl3)δppm:8.90(s,1H,-NH-),7.27(q,1H,Ar-C5-H),7.17(t,1H,Ar-C6-H),7.00(t,1H,Ar-C2-H),6.62(q,1H,Ar-C4-H),4.85(q,1H,-N-CH-C=O),3.77(S,3H,-OCH3),3.51(t,2H,5-CH2),2.45(t,2H,3-CH2),2.06(q,2H,4-CH2),1.44(d,3H,-C-CH3)。EI-MS,m/z:262(M+),140(),112(基峰)。
, 百拇医药
    2.8 (±)N-(2,4-二氟苯基)-2-[(2-氧)-1-吡咯烷]丙酰胺(9)的制备

    化合物(4)1.73 g(0.011 mol),2,4-二氟苯胺1.29 g(0.01 mol),DCC 2.06 g(0.01 mol),纯氯仿10 mL,混合搅拌,加热回流3 h,冷却过滤,滤液减压蒸干,残余固体加水5 mL重结晶,得白色晶体1.93 g,收率72.0%,mp 98~100 ℃。元素分析C13H14N2O2F2。理论值(%):C 58.21,H 5.22,N 10.45;实测值(%):C 58.18,H 5.79,N 10.22。IR(KBr)νcm-1:3294(-NH),1703,1666(-C=O)。1HNMR(CDCl3)δppm:8.54(s,1H,-NH-),8.14(m,1H,Ar-C3-H),6.86(m,2H,Ar-C5-H,Ar-C6-H),4.85(m,1H,-N-CH-C=O),3.49(m,2H,5-CH2),2.45(m,2H,3-CH2),2.06(m,2H,4-CH2),1.43(d,3H,-CH3)。EI-MS,m/z:268(M+),140(),112(基峰,)。
, 百拇医药
    2.9 (±)N-(3-硝基苯基)-2-[(2-氧)-1-吡咯烷]丙酰胺(10)的制备

    化合物(4)1.73 g(0.011 mol),间硝基苯胺1.40 g(0.01 mol),DCC 2.06 g(0.01 mol),纯氯仿10 mL,混合搅拌,加热回流3 h,冷却过滤,滤液减压蒸干,残余固体加水5 mL重结晶,得白色晶体1.73 g,收率62.5%,mp 156.5~158 ℃。元素分析C13H15N3O4。理论值(%):C 56.32,H 5.42,N 15.16;实测值(%):C 56.26,H 5.39,N 15.20。IR(KBr)νcm-1:3291(-NH),1703,1659(-C=O),1519,1357(-NO2)。1HNMR(CDCl3)δppm:9.55(s,1H,-NH-),8.44(m,1H,Ar-C2-H),7.89(t,2H,Ar-C4-H,Ar-C6-H),7.43(t,1H,Ar-C5-H),4.92(q,1H,-N-CH),3.57(m,2H,5-CH2),2.53(m,2H,3-CH2),2.11(m,2H,4-CH2),1.48(d,3H,-CH3)。EI-MS,m/z:277(M+),140(),112(基峰,)。
, http://www.100md.com
    2.10 (±)N-(4-硝基苯基)-2-[(2-氧)-1-吡咯烷]丙酰胺(11)的制备

    化合物(4)1.73 g(0.011 mol),对硝基苯胺1.40 g(0.01 mol),DCC 2.06 g(0.01 mol),纯氯仿10 mL,混合搅拌,加热回流3 h,冷却过滤,滤液减压蒸干,残余固体加水5 mL重结晶,得白色晶体1.83 g,收率66.1%,mp 188~190 ℃。元素分析C13H15N3O4。理论值(%):C 56.32,H 5.42,N 15.16;实测值(%):C 56.06,H 5.42,N 14.87。IR(KBr)νcm-1:3201(-NH),1704,1665(-C=O),1508,1338(-NO2)。1HNMR(CDCl3)δppm:9.64(s,1H,-NH-),8.16~8.70(dd,4H,Ar-H),4.85(q,1H,-N-CH),3.56(t,2H,5-CH2),2.50(m,2H,3-CH2),2.12(m,2H,4-CH2),1.47(d,3H,-CH3)。EI-MS,m/z:277(M+),140(),112(基峰,)。
, 百拇医药
    (致谢:元素分析、红外光谱、质谱由中国药科大学理化测试中心测定,核磁共振氢谱由金陵石化研究院测定) 参考文献

    [1]金永寿.国外医药.合成药、生化药、制剂分册,1996,17(2):67.

    [2]Elkan R. Drug Dev Res, 1989,18:177.

    [3]GB 2053909A.UK Patent Application.

    [4]CN 1085893A.

    (收稿日期 2000-05-07), 百拇医药