静止悬浮激光散射法血球计数仪的研制
作者:杨新慧 杨晔 张镇西 蒋大宗 赵恒玉
单位:
杨新慧 杨晔 张镇西 蒋大宗(西安交通大学生物医学工程研究所 (710049);赵恒玉(西安交通大学医院 (710049)
关键词:自动血细胞计数仪;激光;散射;数据采集
中国医疗器械杂志990302 提要 分析了血细胞计数分类技术,提出了静止悬浮激光散射法血细胞计数分类的新方法,依据这种新方法研制出静止悬浮激光散射法血球计数分类仪,着重介绍了系统的设计思想以及光路和数据采集系统的设计,并利用标准血细胞微粒进行了标定。
Design of Blood Cell Analysers by Using
Stationary Suspending Laser Light Scattering Method
, http://www.100md.com
Yang Xinhui Yang Ye Zhang Zhenxi Jiang Dazong
Institute of Biomedical Engineering,Xi’an Jiaotong University
Zhao Hengyu
Hospital of Xi’an Jiaotong University
ABSTRACT The paper analyses the technology development of automatic blood cell analysers,put forward the new method of blood cell counting and classification by stationary suspending laser light scattering.The new automatic blood cell analyser is designed by using this methtod.The design idea of the light route and data acquisition system is stressly provided in the paper.The calibration is performed by using the standard blood cell particulate.
, 百拇医药
KEY WORDS Automatic Blood Cell Analysers Laser Light Scattering Data Acquisition
目前,国内大多数中小型医院对于血细胞计数仍然采用人工计数的最原始方法,即利用细胞计数板在显微镜下用人工的方法进行计数、分类、染色、辨形等。这种方法的工作量大,易使操作者疲劳而影响计数的准确。若对白细胞进行分类计数,还需固定和染色血液样本。电阻抗型和光散射型血球计数分类仪采用流式结构,使用者反映此类仪器最频发的故障是堵孔。为了解决上述问题,以便更简便迅速地对血细胞计数分类,我们在大量的实验基础上,提出了静止悬浮快速血细胞计数分类测定的新方法。这种方法利用Mie散射理论通过测量静止悬浮的血细胞的散射光强,可一次得出细胞群的分布来。大量的实验结果表明,这种方法是行之有效的。
1.系统原理
为了描述血细胞的弹性光散射,研究者们提出了各种不同的光学理论模型。最简单的血细胞光散射模型是一个二维的、不透光的圆盘[1]。所有穿过圆盘的光线被吸收,而通过圆盘边缘出的光被衍射。用这种模型描述的细胞光散射只有细胞大小的作用。另外还有均匀球模型[2],可以说明细胞边缘的衍射和细胞表面的反射和折射,这种三维模型除了描述细胞的大小外,还可以反映细胞的平均折射率。为了描述细胞核的作用,最简单的二维、二参数模型是一个不透光圆环[3]。圆环的外圆半径代表细胞的大小,内圆半径代表细胞核大小。这个模型只考虑细胞边缘以及细胞核边缘的衍射效应。镀膜球模型[4]可以描述细胞及细胞核的衍射、折射、反射和吸收。它由两个同心球构成,其中细胞核用内球表示,而周围细胞质部分用外球表示。这种模型可描述细胞整体大小和细胞核大小,以及细胞质和细胞核的折射率。以上四种模型,以镀膜球最能代表有核血细胞,但其计算过于复杂。我们采用均匀球模型作为血细胞理论散射模型,通过测量血细胞的前向光散射对血细胞分类计数,也即通过血细胞的大小和折射率对其分类计数。
, http://www.100md.com
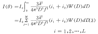
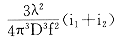
在一定的边界条件下依据Mie理论[5]可对在平面单色光照射下的均匀球求得严格数学解,适于任何直径和折射率大小的颗粒。依据Mie散射理论,在不相关单散射情况下,对细胞数目频率尺寸分布为f(D)的弥散细胞群体系,其散射光强是各单个细胞散射光强的线形迭加,即:
(1)
又因为细胞体积频率尺寸分布W(D)与f(D)存在以下关系:
将其代入(1)式得:
(2)
上式是一个第一类Fredholm积分方程,
是它的核函数。所求的细胞分布W(D)即为该方程的解函数。
, 百拇医药
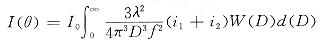
假定细胞尺寸在[Dmin,Dmax]范围内,此外,径向散射光强也是在一定范围[θmin,θmax]内测量的。它取决于CCD光电探测阵列的径向测量范围[rmin,rmax]。其中θmin=rmin/f,θmin=rmin/f。式(2)中积分式可转换为求和形式:
式中Wj为直径为Dj的细胞所占的体积,M为细胞尺寸带的数目。L=(rmax-rmin)/Δr为光电探测器上探测单元的数目,Δr为光电探测器上各取样单元间的距离。上述表达式中,I0为一常数。由于对散射光强的实测值和计算值均采用归一化处理,且所求的尺寸分布用百分率表示,因此可令I0=1。这样式(3)可简单写作矩阵形式,即:
, http://www.100md.com
I=TW
式中I=(I1,I2,…,IL)T为光强分布列向量,W=(W1,W2,…,WM)T为尺寸分布列向量,而
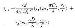
矩阵中T的各元素为
(4)
式(4)的物理意义为,直径为Dj的细胞所产生散射光落在CCD光电探测器距光轴ri处的单元上的光强。式(3)即为Mie散射理论计算细胞散射光强在CCD光电探测器上分布的计算公式。因此,只要光强分布系数矩阵T一旦求出,利用CCD光电探测器测出被测细胞产生的散射光的径向光强分布I,通过对线性方程组I=TW的合理求解就可求得细胞群的尺寸分布W。
, http://www.100md.com
2.测量系统的设计
为了准确获得血细胞的径向散射光强分布,以便能从血细胞的散射光场信息中得出细胞的尺寸分布,需对整个系统精心设计以满足实验系统对光路严格的要求。测量装置如图1所示。
2.1光路的设计
光源采用波长0.6328nm的He-Ne激光器,输出功率为2.2mW。由扩束镜、针孔滤波器和准直镜构成的扩束—准直装置,将激光器发出的细激光束扩束成一定宽度的均匀平行光。接受透镜选用傅里叶变换透镜,能保证细胞散射光不失真,而且能尽可能地减少接受透镜的像差。
图1 静止悬浮式激光散射法血球分类计数技术实验测量装置示意图
样品池由石英玻璃制成,厚度应保证在实验中满足单散射条件。实际测量中,通过测量透射光强IT与I0入射光强之比来判断是否满足单散射条件。根据Beer-Lambert定律[6]:
, 百拇医药
其中τ为介质的衰减系数,又称浊度,与介质单位体积中粒子数目、大小以及介质的消光系数有关,I为悬有被测粒子的介质厚度。实验证明,当τl<0.1时,单散射占绝对优势。此时则有IT/I0>0.905。据此,则可通过使透射光强IT大于入射光强I0的倍来保证测量区的细胞群产生的散射为单散射。
2.2对中针孔板的设计
对于血细胞,前向散射光强,尤其是中心光斑光强最强,沿中心向外光强减弱,并呈现明暗相间的条纹,因此CCD光电探测器接收的散射光强分布是不均匀的,测量中需对CCD光电探测阵列先进行光学对中,即使CCD光电探测阵列的像敏单元中心线与系统光轴在傅里叶变换物镜的后焦点处垂直相交。由于在CCD的动态范围内不能完整接收散射光强分布,而且光敏阵列的有效长度一定,从而不能同时实现对红细胞、白细胞和血小板的测量。为了解决上述问题,经过分析计算,我们采用了双孔对中板和CCD光电探测阵列组成的双探测器结构,即在CCD光电探测阵列上贴置一对中针孔板,在对中针孔板上开两个小孔,小孔中心分别距CCD第一有效像元1.456mm和9.456mm,分别对应测量红细胞、白细胞和血小板时的光学对中。在小孔后分别放置一硅光电池来接收散射光强分布的中心光强,当硅光电池接收到的光强最大时,则认为聚焦光斑在孔的中心,光学对中已完成。对中针孔板的两小孔的直径为400μm。小孔中心与CCD光电探测器阵列像敏元中心线对齐,误差在±μm,如图2所示。
, 百拇医药
图2 CCD+对中针孔板的双探测器组件示意图
2.3数据采集系统的设计
该数据采集系统由探测头和数据采集卡两部分组成,结构框图如图3所示。鉴于CCD的光敏阵列具有恒定的几何尺寸和间隔及高的空间分辨率,适合于精确测量血细胞的径向散射光强,所以选用1024像元的线阵CCD与对中针孔板组成的双探测器来完成径向散射光场的扫描和光学对中。
2.3.1 探测头的设计
探测头由CCD及其驱动电路,对中放大电路,视频放大电路和高速ADC组成。本系统选用了东芝公司的1024像元线阵CCD—TCD132D。由于TCD132D内部带采样保持电路,直接输出台阶状的视频信号,如图4所示。
, 百拇医药
图3 硬件的原理框图
图4
时序的生成原理图
对于一字节数据的A/D转换和数据存取时间应小于CCD数据率的一个数据周期[7]。即:TCCD>TADC+TRW。依据TCD132D的推荐参数,主时钟φm设计为1.5MHz,故TCCD为1.33μs。TADC为ADC转换时间,TRW为数据存取时间。由于本系统ADC向缓存器写数据由硬件控制,故TRW即为存取时间(约为55ns),可忽略不记,所以只需满足TCCD>TADC即可。基于此,本系统选用的ADC为AD7821,是美国AD公司的8位高速A/D转换器。AD7821有两种工作方式:WR-RD方式和RD方式,对应的转换时间分别为660ns和700ns,数据采集频率可高达1MHz。在RD方式下转换的启动和数据输出只需一个外部时序操作READ即可完成。
, 百拇医药
为便于与CCD数据率同步,本系统使用的采样频率为750KHz。为生成满足
方式下对时序信号
要求,本文采用一组组合逻辑电路来生成所要求RD时序信号。其中
时序信号与时基信号ADCLK、φM和RAMCLK的逻辑关系为:
=
时序信号的生成逻辑电路原理图和其时序图如4所示。
2.3.2 数据采集卡
数据采集卡是探测头和主机之间的接口,由窗口控制电路、数据存储器、地址产生以及译码电路构成。
, 百拇医药
2.3.2.1 窗口控制电路
窗口控制电路是CCD视频信号采样极为关键的时序控制电路,由它发出的控制信号来保证ADC只对CCD有效像元的输出视频信号转换,同时控制数据缓存器将A/D转换的输出存入缓存器。这样,CCD、ADC和数据缓存器在时序上才能保持同步。
TCD132D的输出信号之前及之后,设置了66个被屏蔽的光电二极管,用来检测暗电流。因此,我们设置计数器跳过前面63个检测点,只采样中间1024个有效像素,这就是点窗口。同样,还需要设置每次采样多少帧,及帧窗口。窗口控制电路还控制缓存器的地址发生器,启动和关闭以及写满缓存器后向主机发出中断申请信号。
图5 窗口控制时序图
据此要求,设计采用一片可编程定时/计数器8254和一组组合逻辑电路来实现采样窗口控制功能:8254的计数器0用于对要跳过的点计数,计数器1用于对有效像素的计数,计数器2用于对采样的进行计数。最后对每个计数器的计数完成信号进行逻辑组合,形成采样控制信号。8254的三个计数器工作方式均设定为方式1(可编程单稳态),其逻辑时序图和窗口控制电路的电原理图如图5所示。其中,ADEN是AD转换允许信号,由译码控制电路产生,SH是CCD移位时钟信号,RAMCLK是点计数信号,OUT0是8254计数器0的计数输出,OUT1是8254计数器1的计数输出,OUT2是8254计数器2的计数输出,SAMPLING作为向主机申请中断的中断申请信号。
, 百拇医药
2.3.2.2 数据缓存器电路
数据缓存器电路由数据缓存RAM和自动地址计数器组成。本系统选用美国IDT公司的2K×8高速双端口静态RAM—IDT7132,其数据存取仅55ns。双端口RAM是一种特殊类型的RAM。它具有两个独立的端口,各自均有一套相应的数据总线、地址总线和控制总线,允许两个端口独立、异步地对存储器中任何存储单元进行存取操作。
从ADC输出的数据写入数据缓冲区RAM时,RAM的地址是由硬件控制自动产生的。为防止两端口的存取竞争,以避免写入的数据发生混乱。本文采用分时使用,启动一个采集过程存储两帧(2K×8)数据,然后申请中断,由于采用内存直接映像方式[8]将双端口RAM映射为主机内存的一端,主机就可象使用内存一样使用双端口RAM,分析、处理和存储数据。然后再启动一个采集过程,重复上述过程,直至满足采集数据的帧数。自动地址计数器提供RAM左端口的11位写地址,由三片四位二进制计数器74LS161构成。窗口控制电路输出的OUT1经反相后来控制地址计数的启停,地址计数器的清零信号通过对写端口34CH~34FH来提供。其电路原理框图如图3所示。
, 百拇医药
双端口RAM右端口的片选信号由译码电路送来的MEMCS控制,MEMCS按内存直接映象的方式生成的。主机的存储器读信号MEMR作为RAM右端口的片选信号。当主机接受到中断申请信号SAMPLING后,由主机将RAM中的数据分析、处理,然后存为二进制数据文件。
3. 结果与讨论
为了验证该系统的正确性,采用核工业部北京化工冶金研究所生产的用聚苯乙烯材料制成的球形血细胞标准微粒进行标定,包括标称直径为5.60μm,浓度为450万/mm3的红细胞标准微粒;标称直径范围为2.44μm,浓度为19.7万/mm3的血小板标准微粒;标称直径范围为9.5~13.5μm,平均直径为11.0μm,浓度为14253/mm3的白细胞标准微粒。测量时将标准微粒置于纯净的蒸馏水中,其相对蒸馏水的折射率为1.2。利用我们所开发的数据处理算法,得到的结果分别如表1、图6和图7。
, 百拇医药
表1 红细胞标准颗粒(标称直径为5.60μm,浓度为450万/mm3)的测量结果 粒径范围D~1D2(μm)
平均直径D(μm)
体积百分数W(%)
4.70~5.56
5.13
65.6
5.56~6.31
5.94
28.8
6.31~6.98
, 百拇医药
6.64
5.6
6.98~7.58
7.28
0.0
7.58~8.15
7.86
0.0
8.15~8.67
8.41
0.0
8.67~9.17
8.92
, 百拇医药
0.0
9.17~9.64
9.40
0.0
9.64~10.09
9.87
0.0
10.09~10.52
10.30
0.0
10.52~10.93
10.72
, 百拇医药 0.0
10.93~11.33
11.13
0.0
均值粒径(μm)
5.54
图6 白细胞标准颗粒(9.5μm~13.5μm,浓度为14253/mm3)的测量结果
图7 血小板标准微粒的测量结果
由上可知,测量所得的红细胞标准颗粒尺寸分布在其标称直径附近,且其均值粒径与标称直径间的相对误差也较小,为1.98%。此外,对标称直径范围为9.5μm~13.5μm,平均粒径为11.0μm,浓度为14253/mm3的白细胞标准颗粒进行了测量,测量结果如图9所示。测量结果均值粒径为10.64μm,与标称尺寸相对误差为3.2%。由图中可以看出,测量结果与标称尺寸分布范围是很接近的。对标称直径为2.44μm,浓度为19.7万/mm3的血小板标准微粒进行了测量,测量结果如图10所示。测量结果均值粒径为2.59μm,与标称尺寸相对误差为5.8%。
, 百拇医药
利用本系统,我们还对血液样品进行了测量。血液样品随机地取自在西安交通大学医院检验科验血的人,男女均等,为新鲜的指尖血。年龄在22~75岁之间。各种稀释液均采用本校医院目前所用稀释液,即红细胞稀释液:0.9%的氯化钠液体(生理盐水)。白细胞稀释液:3%的冰乙酸。由于测量结果的数据量较大,在这里不一一列出。仅给出一例的结果。
图8 被试者2#红细胞测量结果
图9 被试者2#白细胞测量结果
被试者2#,女,74岁,红细胞数:114万/mm3,淋巴细胞:27%,中性粒细胞:72%,单核细胞:1.0%(以上数据由校医院检验科赵恒玉副主任医师人工计数得到,以利于比对)。其红细胞、白细胞的测量结果如图8、图9。此被试者的红细胞平均直径为8.24大于正常值,提示被试者可能患有恶性贫血。
, 百拇医药
根据被试者2#尺寸分布的测量结果可以得出其白细胞分类计数的结果为:淋巴细胞为25.4%,中性粒细胞为61.7%,中等大小细胞为12.8%。测量结果与计数板计数法结果吻合较好。
研究结果表明,本文的测量装置的准确性和重复性都较好,在测量标准微粒时,测量装置的不确定度小于10%,重复性相对方差小于5%。测量血液样品时,测量结果与细胞计数板法结果吻合较好。实验结果还表明了我们开发的数据处理方法也是有效的。因此利用静止悬浮式激光散射法血球分类计数技术,可以测量血细胞的尺寸分布,并可对白细胞进行了三分类,还可测量单位体积中血细胞的数目,从而完成对血细胞的自动分类计数。由以上讨论可知,静止悬浮式激光散射法血球分类计数技术具有较为广阔的应用前景。
参 考 文 献
1 P.F.Mullancy,et al,Cell sizing:a light scattering photometer for rapid volume determination.Rev Sci Instrum,1969;40:1029-1033.
, 百拇医药
2 P.F.Mullancy,et al,The small angle light scattering of biological cells.Biophys J,1970;10∶764-768.
3 H.F.A.Tsvhunko,Annular aperures with high obstruction.Appl Opt,1974,13∶22-27
4 P.M.A.Sloot,et al.Elastic light scattering from nucleated blood cells∶rapid numerical analysis.Appl Opt.1986;25(19)∶3559-3565.
5 H.C.Van de Hulst.Light scattering by small particle.Wiley Press.New York.1981.
6 M.波恩等著.杨葭孙译.光学原理.科学出版社.1981.
7 王庆有.CCD应用技术.天津大学出版社.1993.
8 张旭东.IBM微型机实用接口技术.科学技术文献出版社.1993.
(1998年4月27日收稿), http://www.100md.com
单位:
杨新慧 杨晔 张镇西 蒋大宗(西安交通大学生物医学工程研究所 (710049);赵恒玉(西安交通大学医院 (710049)
关键词:自动血细胞计数仪;激光;散射;数据采集
中国医疗器械杂志990302 提要 分析了血细胞计数分类技术,提出了静止悬浮激光散射法血细胞计数分类的新方法,依据这种新方法研制出静止悬浮激光散射法血球计数分类仪,着重介绍了系统的设计思想以及光路和数据采集系统的设计,并利用标准血细胞微粒进行了标定。
Design of Blood Cell Analysers by Using
Stationary Suspending Laser Light Scattering Method
, http://www.100md.com
Yang Xinhui Yang Ye Zhang Zhenxi Jiang Dazong
Institute of Biomedical Engineering,Xi’an Jiaotong University
Zhao Hengyu
Hospital of Xi’an Jiaotong University
ABSTRACT The paper analyses the technology development of automatic blood cell analysers,put forward the new method of blood cell counting and classification by stationary suspending laser light scattering.The new automatic blood cell analyser is designed by using this methtod.The design idea of the light route and data acquisition system is stressly provided in the paper.The calibration is performed by using the standard blood cell particulate.
, 百拇医药
KEY WORDS Automatic Blood Cell Analysers Laser Light Scattering Data Acquisition
目前,国内大多数中小型医院对于血细胞计数仍然采用人工计数的最原始方法,即利用细胞计数板在显微镜下用人工的方法进行计数、分类、染色、辨形等。这种方法的工作量大,易使操作者疲劳而影响计数的准确。若对白细胞进行分类计数,还需固定和染色血液样本。电阻抗型和光散射型血球计数分类仪采用流式结构,使用者反映此类仪器最频发的故障是堵孔。为了解决上述问题,以便更简便迅速地对血细胞计数分类,我们在大量的实验基础上,提出了静止悬浮快速血细胞计数分类测定的新方法。这种方法利用Mie散射理论通过测量静止悬浮的血细胞的散射光强,可一次得出细胞群的分布来。大量的实验结果表明,这种方法是行之有效的。
1.系统原理
为了描述血细胞的弹性光散射,研究者们提出了各种不同的光学理论模型。最简单的血细胞光散射模型是一个二维的、不透光的圆盘[1]。所有穿过圆盘的光线被吸收,而通过圆盘边缘出的光被衍射。用这种模型描述的细胞光散射只有细胞大小的作用。另外还有均匀球模型[2],可以说明细胞边缘的衍射和细胞表面的反射和折射,这种三维模型除了描述细胞的大小外,还可以反映细胞的平均折射率。为了描述细胞核的作用,最简单的二维、二参数模型是一个不透光圆环[3]。圆环的外圆半径代表细胞的大小,内圆半径代表细胞核大小。这个模型只考虑细胞边缘以及细胞核边缘的衍射效应。镀膜球模型[4]可以描述细胞及细胞核的衍射、折射、反射和吸收。它由两个同心球构成,其中细胞核用内球表示,而周围细胞质部分用外球表示。这种模型可描述细胞整体大小和细胞核大小,以及细胞质和细胞核的折射率。以上四种模型,以镀膜球最能代表有核血细胞,但其计算过于复杂。我们采用均匀球模型作为血细胞理论散射模型,通过测量血细胞的前向光散射对血细胞分类计数,也即通过血细胞的大小和折射率对其分类计数。
, http://www.100md.com
在一定的边界条件下依据Mie理论[5]可对在平面单色光照射下的均匀球求得严格数学解,适于任何直径和折射率大小的颗粒。依据Mie散射理论,在不相关单散射情况下,对细胞数目频率尺寸分布为f(D)的弥散细胞群体系,其散射光强是各单个细胞散射光强的线形迭加,即:
又因为细胞体积频率尺寸分布W(D)与f(D)存在以下关系:
将其代入(1)式得:
上式是一个第一类Fredholm积分方程,
, 百拇医药
假定细胞尺寸在[Dmin,Dmax]范围内,此外,径向散射光强也是在一定范围[θmin,θmax]内测量的。它取决于CCD光电探测阵列的径向测量范围[rmin,rmax]。其中θmin=rmin/f,θmin=rmin/f。式(2)中积分式可转换为求和形式:
式中Wj为直径为Dj的细胞所占的体积,M为细胞尺寸带的数目。L=(rmax-rmin)/Δr为光电探测器上探测单元的数目,Δr为光电探测器上各取样单元间的距离。上述表达式中,I0为一常数。由于对散射光强的实测值和计算值均采用归一化处理,且所求的尺寸分布用百分率表示,因此可令I0=1。这样式(3)可简单写作矩阵形式,即:
, http://www.100md.com
I=TW
式中I=(I1,I2,…,IL)T为光强分布列向量,W=(W1,W2,…,WM)T为尺寸分布列向量,而
矩阵中T的各元素为
式(4)的物理意义为,直径为Dj的细胞所产生散射光落在CCD光电探测器距光轴ri处的单元上的光强。式(3)即为Mie散射理论计算细胞散射光强在CCD光电探测器上分布的计算公式。因此,只要光强分布系数矩阵T一旦求出,利用CCD光电探测器测出被测细胞产生的散射光的径向光强分布I,通过对线性方程组I=TW的合理求解就可求得细胞群的尺寸分布W。
, http://www.100md.com
2.测量系统的设计
为了准确获得血细胞的径向散射光强分布,以便能从血细胞的散射光场信息中得出细胞的尺寸分布,需对整个系统精心设计以满足实验系统对光路严格的要求。测量装置如图1所示。
2.1光路的设计
光源采用波长0.6328nm的He-Ne激光器,输出功率为2.2mW。由扩束镜、针孔滤波器和准直镜构成的扩束—准直装置,将激光器发出的细激光束扩束成一定宽度的均匀平行光。接受透镜选用傅里叶变换透镜,能保证细胞散射光不失真,而且能尽可能地减少接受透镜的像差。
图1 静止悬浮式激光散射法血球分类计数技术实验测量装置示意图
样品池由石英玻璃制成,厚度应保证在实验中满足单散射条件。实际测量中,通过测量透射光强IT与I0入射光强之比来判断是否满足单散射条件。根据Beer-Lambert定律[6]:
, 百拇医药
其中τ为介质的衰减系数,又称浊度,与介质单位体积中粒子数目、大小以及介质的消光系数有关,I为悬有被测粒子的介质厚度。实验证明,当τl<0.1时,单散射占绝对优势。此时则有IT/I0>0.905。据此,则可通过使透射光强IT大于入射光强I0的倍来保证测量区的细胞群产生的散射为单散射。
2.2对中针孔板的设计
对于血细胞,前向散射光强,尤其是中心光斑光强最强,沿中心向外光强减弱,并呈现明暗相间的条纹,因此CCD光电探测器接收的散射光强分布是不均匀的,测量中需对CCD光电探测阵列先进行光学对中,即使CCD光电探测阵列的像敏单元中心线与系统光轴在傅里叶变换物镜的后焦点处垂直相交。由于在CCD的动态范围内不能完整接收散射光强分布,而且光敏阵列的有效长度一定,从而不能同时实现对红细胞、白细胞和血小板的测量。为了解决上述问题,经过分析计算,我们采用了双孔对中板和CCD光电探测阵列组成的双探测器结构,即在CCD光电探测阵列上贴置一对中针孔板,在对中针孔板上开两个小孔,小孔中心分别距CCD第一有效像元1.456mm和9.456mm,分别对应测量红细胞、白细胞和血小板时的光学对中。在小孔后分别放置一硅光电池来接收散射光强分布的中心光强,当硅光电池接收到的光强最大时,则认为聚焦光斑在孔的中心,光学对中已完成。对中针孔板的两小孔的直径为400μm。小孔中心与CCD光电探测器阵列像敏元中心线对齐,误差在±μm,如图2所示。
, 百拇医药
图2 CCD+对中针孔板的双探测器组件示意图
2.3数据采集系统的设计
该数据采集系统由探测头和数据采集卡两部分组成,结构框图如图3所示。鉴于CCD的光敏阵列具有恒定的几何尺寸和间隔及高的空间分辨率,适合于精确测量血细胞的径向散射光强,所以选用1024像元的线阵CCD与对中针孔板组成的双探测器来完成径向散射光场的扫描和光学对中。
2.3.1 探测头的设计
探测头由CCD及其驱动电路,对中放大电路,视频放大电路和高速ADC组成。本系统选用了东芝公司的1024像元线阵CCD—TCD132D。由于TCD132D内部带采样保持电路,直接输出台阶状的视频信号,如图4所示。
, 百拇医药
图3 硬件的原理框图
图4
对于一字节数据的A/D转换和数据存取时间应小于CCD数据率的一个数据周期[7]。即:TCCD>TADC+TRW。依据TCD132D的推荐参数,主时钟φm设计为1.5MHz,故TCCD为1.33μs。TADC为ADC转换时间,TRW为数据存取时间。由于本系统ADC向缓存器写数据由硬件控制,故TRW即为存取时间(约为55ns),可忽略不记,所以只需满足TCCD>TADC即可。基于此,本系统选用的ADC为AD7821,是美国AD公司的8位高速A/D转换器。AD7821有两种工作方式:WR-RD方式和RD方式,对应的转换时间分别为660ns和700ns,数据采集频率可高达1MHz。在RD方式下转换的启动和数据输出只需一个外部时序操作READ即可完成。
, 百拇医药
为便于与CCD数据率同步,本系统使用的采样频率为750KHz。为生成满足
2.3.2 数据采集卡
数据采集卡是探测头和主机之间的接口,由窗口控制电路、数据存储器、地址产生以及译码电路构成。
, 百拇医药
2.3.2.1 窗口控制电路
窗口控制电路是CCD视频信号采样极为关键的时序控制电路,由它发出的控制信号来保证ADC只对CCD有效像元的输出视频信号转换,同时控制数据缓存器将A/D转换的输出存入缓存器。这样,CCD、ADC和数据缓存器在时序上才能保持同步。
TCD132D的输出信号之前及之后,设置了66个被屏蔽的光电二极管,用来检测暗电流。因此,我们设置计数器跳过前面63个检测点,只采样中间1024个有效像素,这就是点窗口。同样,还需要设置每次采样多少帧,及帧窗口。窗口控制电路还控制缓存器的地址发生器,启动和关闭以及写满缓存器后向主机发出中断申请信号。
图5 窗口控制时序图
据此要求,设计采用一片可编程定时/计数器8254和一组组合逻辑电路来实现采样窗口控制功能:8254的计数器0用于对要跳过的点计数,计数器1用于对有效像素的计数,计数器2用于对采样的进行计数。最后对每个计数器的计数完成信号进行逻辑组合,形成采样控制信号。8254的三个计数器工作方式均设定为方式1(可编程单稳态),其逻辑时序图和窗口控制电路的电原理图如图5所示。其中,ADEN是AD转换允许信号,由译码控制电路产生,SH是CCD移位时钟信号,RAMCLK是点计数信号,OUT0是8254计数器0的计数输出,OUT1是8254计数器1的计数输出,OUT2是8254计数器2的计数输出,SAMPLING作为向主机申请中断的中断申请信号。
, 百拇医药
2.3.2.2 数据缓存器电路
数据缓存器电路由数据缓存RAM和自动地址计数器组成。本系统选用美国IDT公司的2K×8高速双端口静态RAM—IDT7132,其数据存取仅55ns。双端口RAM是一种特殊类型的RAM。它具有两个独立的端口,各自均有一套相应的数据总线、地址总线和控制总线,允许两个端口独立、异步地对存储器中任何存储单元进行存取操作。
从ADC输出的数据写入数据缓冲区RAM时,RAM的地址是由硬件控制自动产生的。为防止两端口的存取竞争,以避免写入的数据发生混乱。本文采用分时使用,启动一个采集过程存储两帧(2K×8)数据,然后申请中断,由于采用内存直接映像方式[8]将双端口RAM映射为主机内存的一端,主机就可象使用内存一样使用双端口RAM,分析、处理和存储数据。然后再启动一个采集过程,重复上述过程,直至满足采集数据的帧数。自动地址计数器提供RAM左端口的11位写地址,由三片四位二进制计数器74LS161构成。窗口控制电路输出的OUT1经反相后来控制地址计数的启停,地址计数器的清零信号通过对写端口34CH~34FH来提供。其电路原理框图如图3所示。
, 百拇医药
双端口RAM右端口的片选信号由译码电路送来的MEMCS控制,MEMCS按内存直接映象的方式生成的。主机的存储器读信号MEMR作为RAM右端口的片选信号。当主机接受到中断申请信号SAMPLING后,由主机将RAM中的数据分析、处理,然后存为二进制数据文件。
3. 结果与讨论
为了验证该系统的正确性,采用核工业部北京化工冶金研究所生产的用聚苯乙烯材料制成的球形血细胞标准微粒进行标定,包括标称直径为5.60μm,浓度为450万/mm3的红细胞标准微粒;标称直径范围为2.44μm,浓度为19.7万/mm3的血小板标准微粒;标称直径范围为9.5~13.5μm,平均直径为11.0μm,浓度为14253/mm3的白细胞标准微粒。测量时将标准微粒置于纯净的蒸馏水中,其相对蒸馏水的折射率为1.2。利用我们所开发的数据处理算法,得到的结果分别如表1、图6和图7。
, 百拇医药
表1 红细胞标准颗粒(标称直径为5.60μm,浓度为450万/mm3)的测量结果 粒径范围D~1D2(μm)
平均直径D(μm)
体积百分数W(%)
4.70~5.56
5.13
65.6
5.56~6.31
5.94
28.8
6.31~6.98
, 百拇医药
6.64
5.6
6.98~7.58
7.28
0.0
7.58~8.15
7.86
0.0
8.15~8.67
8.41
0.0
8.67~9.17
8.92
, 百拇医药
0.0
9.17~9.64
9.40
0.0
9.64~10.09
9.87
0.0
10.09~10.52
10.30
0.0
10.52~10.93
10.72
, 百拇医药 0.0
10.93~11.33
11.13
0.0
均值粒径(μm)
5.54
图6 白细胞标准颗粒(9.5μm~13.5μm,浓度为14253/mm3)的测量结果
图7 血小板标准微粒的测量结果
由上可知,测量所得的红细胞标准颗粒尺寸分布在其标称直径附近,且其均值粒径与标称直径间的相对误差也较小,为1.98%。此外,对标称直径范围为9.5μm~13.5μm,平均粒径为11.0μm,浓度为14253/mm3的白细胞标准颗粒进行了测量,测量结果如图9所示。测量结果均值粒径为10.64μm,与标称尺寸相对误差为3.2%。由图中可以看出,测量结果与标称尺寸分布范围是很接近的。对标称直径为2.44μm,浓度为19.7万/mm3的血小板标准微粒进行了测量,测量结果如图10所示。测量结果均值粒径为2.59μm,与标称尺寸相对误差为5.8%。
, 百拇医药
利用本系统,我们还对血液样品进行了测量。血液样品随机地取自在西安交通大学医院检验科验血的人,男女均等,为新鲜的指尖血。年龄在22~75岁之间。各种稀释液均采用本校医院目前所用稀释液,即红细胞稀释液:0.9%的氯化钠液体(生理盐水)。白细胞稀释液:3%的冰乙酸。由于测量结果的数据量较大,在这里不一一列出。仅给出一例的结果。
图8 被试者2#红细胞测量结果
图9 被试者2#白细胞测量结果
被试者2#,女,74岁,红细胞数:114万/mm3,淋巴细胞:27%,中性粒细胞:72%,单核细胞:1.0%(以上数据由校医院检验科赵恒玉副主任医师人工计数得到,以利于比对)。其红细胞、白细胞的测量结果如图8、图9。此被试者的红细胞平均直径为8.24大于正常值,提示被试者可能患有恶性贫血。
, 百拇医药
根据被试者2#尺寸分布的测量结果可以得出其白细胞分类计数的结果为:淋巴细胞为25.4%,中性粒细胞为61.7%,中等大小细胞为12.8%。测量结果与计数板计数法结果吻合较好。
研究结果表明,本文的测量装置的准确性和重复性都较好,在测量标准微粒时,测量装置的不确定度小于10%,重复性相对方差小于5%。测量血液样品时,测量结果与细胞计数板法结果吻合较好。实验结果还表明了我们开发的数据处理方法也是有效的。因此利用静止悬浮式激光散射法血球分类计数技术,可以测量血细胞的尺寸分布,并可对白细胞进行了三分类,还可测量单位体积中血细胞的数目,从而完成对血细胞的自动分类计数。由以上讨论可知,静止悬浮式激光散射法血球分类计数技术具有较为广阔的应用前景。
参 考 文 献
1 P.F.Mullancy,et al,Cell sizing:a light scattering photometer for rapid volume determination.Rev Sci Instrum,1969;40:1029-1033.
, 百拇医药
2 P.F.Mullancy,et al,The small angle light scattering of biological cells.Biophys J,1970;10∶764-768.
3 H.F.A.Tsvhunko,Annular aperures with high obstruction.Appl Opt,1974,13∶22-27
4 P.M.A.Sloot,et al.Elastic light scattering from nucleated blood cells∶rapid numerical analysis.Appl Opt.1986;25(19)∶3559-3565.
5 H.C.Van de Hulst.Light scattering by small particle.Wiley Press.New York.1981.
6 M.波恩等著.杨葭孙译.光学原理.科学出版社.1981.
7 王庆有.CCD应用技术.天津大学出版社.1993.
8 张旭东.IBM微型机实用接口技术.科学技术文献出版社.1993.
(1998年4月27日收稿), http://www.100md.com