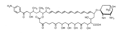
抗真菌抗生素414的化学结构
作者:郑卫 洪祖忠 洪金基 林文良
单位:福建省微生物研究所,福州 350007
关键词:抗生素414;克念菌素;电喷雾电离质谱;化学结构
中国抗生素杂志000407 摘要:七烯大环内酯抗生素414是由球孢玫瑰紫链霉菌产生的抗真菌抗生素,用电喷雾电离质谱法(ESI-MS)、HPLC法和其它有机光谱法对抗生素414和克念菌素(candicidin,美国药典委员会标准品)进行化学结构分析、比较,确定了抗生素414的分子量并证实抗生素414的主要成分与国外报道的克念菌素的主要成分为同一物质。
中图分类号:R927 文献标识码:A
文章编号:1001-8689(2000)04-0266-06
, 百拇医药 The chemical structure of antifungal antibiotic 414
Zheng Wei, Hong Zu-zhong, Hong Jin-ji and Lin Wen-liang
(Fujian Institute of Microbiology, Fuzhou 350007)
ABSTRACT Heptaene macrolide antifungal antibiotic 414 was produced by S.globonoseoviolaceus n.sp, the chemical structure identification of antibiotic 414 and its comparison with candicidin (reference standard) were carried out by electron spray ionization mass spectrum (ESI-MS), HPLC and other organic spectrometric methods. The molecular weight of antibiotic 414 was given and antibiotic 414 was proved identical with candicicin.
, 百拇医药
KEY WORDS Antibiotic 414; Candicidin; Electron spray ionization mass spcetrum (ESI-MS); Chemical structure
抗真菌抗生素414是由球孢玫瑰紫链霉菌(S.globoroseoviolaceus n.sp)产生的含芳香环七烯大环内酯抗生素[1]。早期的化学研究工作发现抗生素414含有水溶性的Ⅰ组分和不溶于水的Ⅱ组分[2],通过菌种选育和选择发酵条件,目前从产生菌的发酵液中所提取到的抗生素414为Ⅱ组分。
关于抗生素414化学结构的鉴别,曾经做了许多研究工作,证明在主要的组分方面和国外报道的克念菌素(candicidin,曾译杀假丝菌素)是同质的[3]。但是,由于抗生素414为不稳定的七烯大环内酯类化合物,热稳定差且难以气化,因此当时无法用场解吸等温和的离子化和样品导入法来进行有效的质谱分析,由此影响了其化学结构的确定。
, http://www.100md.com
近年来,电喷雾电离质谱法(ESI-MS)在化学中的应用日益广泛。在电喷雾电离质谱中,样品分子在带电的液滴中受到库仑排斥力进入气相,没有受到外部能量的激发,因而样品分子不会发生裂解,主要得到分子离子峰,无碎片峰。因此ESI-MS可以用来分析非挥发性的、极性的、热不稳定的化合物[4]。本文主要报道用ESI-MS法、HPLC法和其它有机光谱法对所研制的抗生素414和candicidin(美国药典委员会标准品)进行化学结构分析、比较的结果。
1 电喷雾电离质谱
将抗生素414和candicidin分别溶于含0.1%乙酸的甲酸溶剂中,用美国VG质谱公司的Guattro质谱仪对它们进行分析,得到相关的分子离子峰(图1)。

, 百拇医药
图1 抗生素414(a)和candicidin (b)的电喷雾电离质谱图
从图1中可以看出抗生素414和candicidin的主要分子离子峰的质荷比是一致的,它们在1132(M+Na)、1110(M+1)、1094(M+1-“O”)、1078(M+1-“O”-“O”)都有相同的分子离子峰,由此进一步证实本所研制的抗生素414的主要组分与candicidin的主要组分同质。
从图1中还可得出抗生素414主要组分的分子量为1109.5,candicidin主要组分的分子量为1109.1,与candicidin D(分子式C59H84N2O18,分子量1109.3)相符,这与candicidin的主要成分是candicidin D的报道一致[5,6]。因此通过ESI-MS可以确定抗生素414的主要成分为candicidin D,其基本的化学结构骨架如下:
, 百拇医药
2 高压液相色谱(HPLC)[7]
以EDTA二钠盐(2g/L)-乙腈混合溶剂(50∶50)为流动相(流速1ml/min),ODS-C18(25cm×5cm)为分析柱,在岛津LC-3A高压液相色谱仪上分别对抗生素414、candicidin以及抗生素414加candicidin的混合样品进行组分分析(图2)。
图2 抗生素414(a)、candicidin (b)和抗生素414+candicidin (c)的HPLC图
从图2中可以看出抗生素414和candicidin在高压液相色谱图中均出现3个主要峰,它们的保留时间一致,分别为19、23和26min。
3 红外吸收光谱
, http://www.100md.com
用PE683红外光谱仪以KBr压片法对抗生素414和candicidin进行红外光谱分析,抗生素414和candicidin在下列波数均有相同的特征吸收峰(cm-1):3360(υOH羟基),2920(υCH烷基),1705(υC=O酮、内酯),1630(δNH伯胺),1590(υC=C苯环),1380(δOH二级醇), 1320(υC-N芳香族伯胺),1170(υC-O内酯、二级醇),1000(δC=C双取代反式共轭双键)。
4 紫外吸收光谱
将抗生素414和candicidin分别用10%的DMSO甲醇液配成1mg/ml的溶液,取1ml该溶液用甲醇稀释100倍后用日立557型双波长双光束紫外分光光度计进行紫外吸收光谱分析。 抗生素414和candicidin在波长359、379和399nm处均有典型的共轭七烯发色团的吸收峰[8]。其中波长379nm处吸收大于399nm处的吸收,更大于359处的吸收,具有顺式-反式七烯发色团的特征[3,9]。
, http://www.100md.com
5 核磁共振氢谱
以DMSO-d6为溶剂,用Varian Unity 500兆核磁共振仪对抗生素414和candicidin进行核磁共振氢谱分析(图3)。

图3 抗生素414(a)和candicidin (b)的核磁共振氢谱图
从图3中可以看出抗生素414和candicidin在核磁共振氢谱中的特征和化学位移是一致的,δ6.0~7.0ppm存在共轭七烯氢的化学位移,在δ2.6ppm以下存在一系列烷基氢的化学移。δ7.66ppm(J=7.5Hz)和6.55ppm(J=8.5Hz)为分裂成两组的对二取代苯环芳氢的化学位移,前者为酮取代基邻位的苯环芳氢的化学位移,由于受到酮取代基的吸电子作用而向低场移动,后者为伯胺取代基邻位的苯环芳氢的化学位移,由于受到伯胺取代基的给电子作用而向高场移动。用DMSO-d6为溶剂时计算苯环芳氢化学位移的公式:δ=7.41-∑S,其中S表示不同取代基对苯环芳氢的影响[10]。对于酮取代基(-COR)而言,S邻=-0.54,S间=-0.11;对于伯胺取代基(-NH2)而言,S邻=0.75,S间=0.24,由此得到与酮取代基邻位的苯环芳氢的化学位移的计算值(δ)为7.41-(-0.54+0.24)=7.71(实测值7.66),与伯胺取代基邻位的苯环芳氢的化学位移的计算值(δ)为7.41-(0.75-0.11)=6.77(实测值6.55),实测值与计算值相当吻合,由此更进一步证实抗生素414为含有对氨基苯乙酮侧链的七烯大环内酯抗生素。
, http://www.100md.com
6 核磁共振碳谱
以DMSO-d6为溶剂,用Varian Unity 500兆核磁共振仪对抗生素414和candicidin进行核磁共振碳谱分析(图4)。

图4 抗生素414(a)和candicidin (b)的核磁共振碳谱图
(a):抗生素414; (b):candicidin美国标准品
从图4可以看出抗生素414和candicidin在核磁共振碳谱中的特征和化学位移是一致的。参照有关文献[9,11],可以初步判断δ170~210ppm存在羰基碳(C1,C3,C7,C15,C18-COOH,C43)的化学位移,δ120~140ppm存在共轭七烯碳(C22-35)的化学位移。δ104.23ppm为C1′的化学位移,δ60~80ppm存在与羟基相连的碳(C9,C11,C13,C17,C19,C21,C37,C41,C2′,C4′,C5′)及C2,C18的化学位移。δ56.38ppm为C3′的化学位移,δ30~60ppm存在C4,C6,C8,C10,C12,C14,C16,C20,C36,C38,C39,C40和C42的碳化学位移。δ10~20ppm存在C5,C36-Me,C38-Me,C40-Me和C5′-Me的碳化学位移。根据各取代基对苯环上不同位置的芳香碳化学位移影响的改变值,可以计算出苯环上碳的化学位移[11]:δ(C44)=128.5+7.8-9.5=126.5(实测值125.65);δ(C45)=128.5-0.4+1.3=129.4(实测值132.13);δ(C46)=128.5-0.4-12.4=115.4(实测值114.15);δ(C47)=128.5+2.8+19.2=150.5(实测值155.40)。实测值与计算值相当吻合,与氢谱得出的结论一致。
, http://www.100md.com
7 结果
七烯大环内酯抗生素414由于难以气化和稳定性差等原因,导致其化学结构鉴定工作进展缓慢,电喷雾电离质谱法的成功应用解决了七烯大环内酯抗生素414分子量测定的难题,确定了抗生素414的主要成分为candicidin D。结合HPLC法、核磁共振氢谱和碳谱以及其它有机光谱可以确定本所研制的抗真菌抗生素414的主要成分与国外报道的candicidin的主要成分为同一物质,从而为今后抗生素414的进一步开发研究打下良好的基础。
致谢:电喷雾电离质谱由中国科学院上海有机化学研究所代测,红外吸收光谱由福建省医学测试重点公共实验室测定,核磁共振氢谱和碳谱由中国科学院福建物质结构研究所代测,特致谢意。
作者简介:郑卫:男,生于1957年,博士,副研究员。
参考文献
, 百拇医药
[1] 福建省微生物研究所. 抗真菌抗菌素414的研究Ⅰ. 球孢玫瑰紫链霉菌(Streptomyces globoroseoviolaceus n.sp)的分类研究[J]. 微生物学报,1976;16(2):106
[2] 福建省微生物研究所. 科学院技术成果报告. 球红霉素的研究:产生菌、试制、物理化学性质及临床药理[R]. 北京:科学技术文献出版社,1978
[3] 黄维真,盛光阳,邓亚丽,等. 抗真菌抗生素414的鉴别[J]. 抗生素,1983;8(1):4
[4] 魏先文,许正. 电喷雾电离质谱在化学中应用新进展[J]. 有机化学,1999;19:97
[5] Zielinski J, Boromy-Borowski H, Golik J, et al. The structure of levorin A2 and candicidin D [J]. Tetrahedron Lett,1979;20:1791
, 百拇医药
[6] Merck Index 12th New Jersey [M],1996:284
[7] Helboe P, Thomsen M. Improved high-performance liquid chromatographic method for the comparison of heptaene macrolide [J]. J Chromatog,1980;189:249
[8] 顾觉奋主编. 微生物药品化学与分析[M]. 北京:军事医学科学院出版社,1996:108
[9] Vértesy L, Aretz W, Ehlers E, et al. 3874 H1 and H3, novel antifungal heptaene antibiotics produced by Streptomyces sp. HAG 003874 [J]. J Antibiot,1998;51(10):921
[10] 赵天增. 核磁共振氢谱[M]. 北京:北京大学出版社,1983:35
[11] Silverstein R M, Bassler G C, Morrill T C. Spectrometric identification of organic compounds [M]. New York: John Wiley & Sons,1991:227
收稿日期:1999-07-19;修订日期:2000-04-03, http://www.100md.com
单位:福建省微生物研究所,福州 350007
关键词:抗生素414;克念菌素;电喷雾电离质谱;化学结构
中国抗生素杂志000407 摘要:七烯大环内酯抗生素414是由球孢玫瑰紫链霉菌产生的抗真菌抗生素,用电喷雾电离质谱法(ESI-MS)、HPLC法和其它有机光谱法对抗生素414和克念菌素(candicidin,美国药典委员会标准品)进行化学结构分析、比较,确定了抗生素414的分子量并证实抗生素414的主要成分与国外报道的克念菌素的主要成分为同一物质。
中图分类号:R927 文献标识码:A
文章编号:1001-8689(2000)04-0266-06
, 百拇医药 The chemical structure of antifungal antibiotic 414
Zheng Wei, Hong Zu-zhong, Hong Jin-ji and Lin Wen-liang
(Fujian Institute of Microbiology, Fuzhou 350007)
ABSTRACT Heptaene macrolide antifungal antibiotic 414 was produced by S.globonoseoviolaceus n.sp, the chemical structure identification of antibiotic 414 and its comparison with candicidin (reference standard) were carried out by electron spray ionization mass spectrum (ESI-MS), HPLC and other organic spectrometric methods. The molecular weight of antibiotic 414 was given and antibiotic 414 was proved identical with candicicin.
, 百拇医药
KEY WORDS Antibiotic 414; Candicidin; Electron spray ionization mass spcetrum (ESI-MS); Chemical structure
抗真菌抗生素414是由球孢玫瑰紫链霉菌(S.globoroseoviolaceus n.sp)产生的含芳香环七烯大环内酯抗生素[1]。早期的化学研究工作发现抗生素414含有水溶性的Ⅰ组分和不溶于水的Ⅱ组分[2],通过菌种选育和选择发酵条件,目前从产生菌的发酵液中所提取到的抗生素414为Ⅱ组分。
关于抗生素414化学结构的鉴别,曾经做了许多研究工作,证明在主要的组分方面和国外报道的克念菌素(candicidin,曾译杀假丝菌素)是同质的[3]。但是,由于抗生素414为不稳定的七烯大环内酯类化合物,热稳定差且难以气化,因此当时无法用场解吸等温和的离子化和样品导入法来进行有效的质谱分析,由此影响了其化学结构的确定。
, http://www.100md.com
近年来,电喷雾电离质谱法(ESI-MS)在化学中的应用日益广泛。在电喷雾电离质谱中,样品分子在带电的液滴中受到库仑排斥力进入气相,没有受到外部能量的激发,因而样品分子不会发生裂解,主要得到分子离子峰,无碎片峰。因此ESI-MS可以用来分析非挥发性的、极性的、热不稳定的化合物[4]。本文主要报道用ESI-MS法、HPLC法和其它有机光谱法对所研制的抗生素414和candicidin(美国药典委员会标准品)进行化学结构分析、比较的结果。
1 电喷雾电离质谱
将抗生素414和candicidin分别溶于含0.1%乙酸的甲酸溶剂中,用美国VG质谱公司的Guattro质谱仪对它们进行分析,得到相关的分子离子峰(图1)。
, 百拇医药
图1 抗生素414(a)和candicidin (b)的电喷雾电离质谱图
从图1中可以看出抗生素414和candicidin的主要分子离子峰的质荷比是一致的,它们在1132(M+Na)、1110(M+1)、1094(M+1-“O”)、1078(M+1-“O”-“O”)都有相同的分子离子峰,由此进一步证实本所研制的抗生素414的主要组分与candicidin的主要组分同质。
从图1中还可得出抗生素414主要组分的分子量为1109.5,candicidin主要组分的分子量为1109.1,与candicidin D(分子式C59H84N2O18,分子量1109.3)相符,这与candicidin的主要成分是candicidin D的报道一致[5,6]。因此通过ESI-MS可以确定抗生素414的主要成分为candicidin D,其基本的化学结构骨架如下:
, 百拇医药
2 高压液相色谱(HPLC)[7]
以EDTA二钠盐(2g/L)-乙腈混合溶剂(50∶50)为流动相(流速1ml/min),ODS-C18(25cm×5cm)为分析柱,在岛津LC-3A高压液相色谱仪上分别对抗生素414、candicidin以及抗生素414加candicidin的混合样品进行组分分析(图2)。
图2 抗生素414(a)、candicidin (b)和抗生素414+candicidin (c)的HPLC图
从图2中可以看出抗生素414和candicidin在高压液相色谱图中均出现3个主要峰,它们的保留时间一致,分别为19、23和26min。
3 红外吸收光谱
, http://www.100md.com
用PE683红外光谱仪以KBr压片法对抗生素414和candicidin进行红外光谱分析,抗生素414和candicidin在下列波数均有相同的特征吸收峰(cm-1):3360(υOH羟基),2920(υCH烷基),1705(υC=O酮、内酯),1630(δNH伯胺),1590(υC=C苯环),1380(δOH二级醇), 1320(υC-N芳香族伯胺),1170(υC-O内酯、二级醇),1000(δC=C双取代反式共轭双键)。
4 紫外吸收光谱
将抗生素414和candicidin分别用10%的DMSO甲醇液配成1mg/ml的溶液,取1ml该溶液用甲醇稀释100倍后用日立557型双波长双光束紫外分光光度计进行紫外吸收光谱分析。 抗生素414和candicidin在波长359、379和399nm处均有典型的共轭七烯发色团的吸收峰[8]。其中波长379nm处吸收大于399nm处的吸收,更大于359处的吸收,具有顺式-反式七烯发色团的特征[3,9]。
, http://www.100md.com
5 核磁共振氢谱
以DMSO-d6为溶剂,用Varian Unity 500兆核磁共振仪对抗生素414和candicidin进行核磁共振氢谱分析(图3)。
图3 抗生素414(a)和candicidin (b)的核磁共振氢谱图
从图3中可以看出抗生素414和candicidin在核磁共振氢谱中的特征和化学位移是一致的,δ6.0~7.0ppm存在共轭七烯氢的化学位移,在δ2.6ppm以下存在一系列烷基氢的化学移。δ7.66ppm(J=7.5Hz)和6.55ppm(J=8.5Hz)为分裂成两组的对二取代苯环芳氢的化学位移,前者为酮取代基邻位的苯环芳氢的化学位移,由于受到酮取代基的吸电子作用而向低场移动,后者为伯胺取代基邻位的苯环芳氢的化学位移,由于受到伯胺取代基的给电子作用而向高场移动。用DMSO-d6为溶剂时计算苯环芳氢化学位移的公式:δ=7.41-∑S,其中S表示不同取代基对苯环芳氢的影响[10]。对于酮取代基(-COR)而言,S邻=-0.54,S间=-0.11;对于伯胺取代基(-NH2)而言,S邻=0.75,S间=0.24,由此得到与酮取代基邻位的苯环芳氢的化学位移的计算值(δ)为7.41-(-0.54+0.24)=7.71(实测值7.66),与伯胺取代基邻位的苯环芳氢的化学位移的计算值(δ)为7.41-(0.75-0.11)=6.77(实测值6.55),实测值与计算值相当吻合,由此更进一步证实抗生素414为含有对氨基苯乙酮侧链的七烯大环内酯抗生素。
, http://www.100md.com
6 核磁共振碳谱
以DMSO-d6为溶剂,用Varian Unity 500兆核磁共振仪对抗生素414和candicidin进行核磁共振碳谱分析(图4)。
图4 抗生素414(a)和candicidin (b)的核磁共振碳谱图
(a):抗生素414; (b):candicidin美国标准品
从图4可以看出抗生素414和candicidin在核磁共振碳谱中的特征和化学位移是一致的。参照有关文献[9,11],可以初步判断δ170~210ppm存在羰基碳(C1,C3,C7,C15,C18-COOH,C43)的化学位移,δ120~140ppm存在共轭七烯碳(C22-35)的化学位移。δ104.23ppm为C1′的化学位移,δ60~80ppm存在与羟基相连的碳(C9,C11,C13,C17,C19,C21,C37,C41,C2′,C4′,C5′)及C2,C18的化学位移。δ56.38ppm为C3′的化学位移,δ30~60ppm存在C4,C6,C8,C10,C12,C14,C16,C20,C36,C38,C39,C40和C42的碳化学位移。δ10~20ppm存在C5,C36-Me,C38-Me,C40-Me和C5′-Me的碳化学位移。根据各取代基对苯环上不同位置的芳香碳化学位移影响的改变值,可以计算出苯环上碳的化学位移[11]:δ(C44)=128.5+7.8-9.5=126.5(实测值125.65);δ(C45)=128.5-0.4+1.3=129.4(实测值132.13);δ(C46)=128.5-0.4-12.4=115.4(实测值114.15);δ(C47)=128.5+2.8+19.2=150.5(实测值155.40)。实测值与计算值相当吻合,与氢谱得出的结论一致。
, http://www.100md.com
7 结果
七烯大环内酯抗生素414由于难以气化和稳定性差等原因,导致其化学结构鉴定工作进展缓慢,电喷雾电离质谱法的成功应用解决了七烯大环内酯抗生素414分子量测定的难题,确定了抗生素414的主要成分为candicidin D。结合HPLC法、核磁共振氢谱和碳谱以及其它有机光谱可以确定本所研制的抗真菌抗生素414的主要成分与国外报道的candicidin的主要成分为同一物质,从而为今后抗生素414的进一步开发研究打下良好的基础。
致谢:电喷雾电离质谱由中国科学院上海有机化学研究所代测,红外吸收光谱由福建省医学测试重点公共实验室测定,核磁共振氢谱和碳谱由中国科学院福建物质结构研究所代测,特致谢意。
作者简介:郑卫:男,生于1957年,博士,副研究员。
参考文献
, 百拇医药
[1] 福建省微生物研究所. 抗真菌抗菌素414的研究Ⅰ. 球孢玫瑰紫链霉菌(Streptomyces globoroseoviolaceus n.sp)的分类研究[J]. 微生物学报,1976;16(2):106
[2] 福建省微生物研究所. 科学院技术成果报告. 球红霉素的研究:产生菌、试制、物理化学性质及临床药理[R]. 北京:科学技术文献出版社,1978
[3] 黄维真,盛光阳,邓亚丽,等. 抗真菌抗生素414的鉴别[J]. 抗生素,1983;8(1):4
[4] 魏先文,许正. 电喷雾电离质谱在化学中应用新进展[J]. 有机化学,1999;19:97
[5] Zielinski J, Boromy-Borowski H, Golik J, et al. The structure of levorin A2 and candicidin D [J]. Tetrahedron Lett,1979;20:1791
, 百拇医药
[6] Merck Index 12th New Jersey [M],1996:284
[7] Helboe P, Thomsen M. Improved high-performance liquid chromatographic method for the comparison of heptaene macrolide [J]. J Chromatog,1980;189:249
[8] 顾觉奋主编. 微生物药品化学与分析[M]. 北京:军事医学科学院出版社,1996:108
[9] Vértesy L, Aretz W, Ehlers E, et al. 3874 H1 and H3, novel antifungal heptaene antibiotics produced by Streptomyces sp. HAG 003874 [J]. J Antibiot,1998;51(10):921
[10] 赵天增. 核磁共振氢谱[M]. 北京:北京大学出版社,1983:35
[11] Silverstein R M, Bassler G C, Morrill T C. Spectrometric identification of organic compounds [M]. New York: John Wiley & Sons,1991:227
收稿日期:1999-07-19;修订日期:2000-04-03, http://www.100md.com