大鼠急性氧中毒后全脑细胞能量代谢的活体31P磁共振谱研究
作者:孙学军 李丽云 陶恒沂 卢广 练庆林 岳勇 叶朝辉
单位:
关键词:高压氧;氧中毒;磁共振;磷
第二军医大学学报000408 【摘要】目的:探讨大鼠急性氧中毒后脑的能量代谢产物与脑细胞内pH变化的规律。方法:采用磁共振方法,用4.7 T动物磁共振谱仪,检测氧中毒后不同时程各种磷酸化合物与无机磷酸根(Pi)、磷酸肌酸(PCr)与γ-ATP以及β-ATP与Pi之间的比值,并根据Pi的化学位移推算脑细胞内pH值。结果:氧中毒组动物出舱1和3 h后 PCr/Pi,PCr/γ-ATP以及β-ATP/Pi值均显著降低;5 h后恢复正常;24和48 h后这些比值又降低,而且比早期降低更明显;72 h后恢复到正常水平。细胞内pH值在动物出舱后1和3 h出现显著降低;5 h后恢复正常;24 h后,细胞内pH明显升高;48 h后恢复正常。结论:氧中毒后大脑出现能量代谢障碍及细胞内酸碱代谢紊乱。
, 百拇医药
【中图分类号】R 845.27 【文献标识码】A
【文章编号】0258-879X(2000)04-0326-04
31P Nuclear magnetic resonance spectroscopy studies on global cerebral cellular energy metabolism following acute oxygen poisoning in rats
SUN Xue-Jun,TAO Heng-Yi,LIAN Qing-Lin,YE Chao-Hui
(1.Department of Diving Medicine,Faculty of Navy Medicine,Second Military Medical University,Shanghai 200433,China)
, 百拇医药
LI Li-Yun,LU Guang,YUE Yong
(Laboratory of Magnetic Resonance,Wuhan Institute of Physics and Mathematics,Chinese Academy of Sciences)
【ABSTRACT】Objective:To evaluate cerebral cellular energy metabolism and pH in the rat global cerebral cellular following acute oxygen poisoning.Methods:All 31P NMR spectra were performed on a high-field,4.7 T,NMR spectroscopic imaging system using a 31P/1H double-tuned surface coil.Intracellular pH were determined according to the spectra of pi.Results:Phosphocreatine to inorganic phosphate (PCr/Pi),PCr to gamma adenosine triphosphate (PCr/γ-ATP) and adenosine triphosphate to inorganic phosphate (β-ATP/Pi) decreased compared with the corresponding ratios in control group in the entire brain at 1 and 3 h after exposing HBO.At 5 h,no significant decrease of the ratios was found.At 24 h,the ratios were decreased significantly again.At 72 h,the ratios prestored to normal level.Intracellular pH was significantly decreased at 1 and 3 h after exposing HBO.At 5 h,no significant change of the intracellular pH was found.At 24 h,the pH was increased significantly.At 48 h,the pH restored to normal level.Conclusion:There are energy failure and intracellular acidosis and alkalosis in cerebral cellular after oxygen poisoning in rats.
, http://www.100md.com
【KEY WORDS】hyperbaric oxygenation; oxygen poisoning; nuclear magnetic resonance,phosphorus
应用磁共振技术研究动物和人活体器官的细胞代谢,是近10年来发展起来的一项无损伤检测新技术,适用于对动物和人的生理和病理状态的连续观察。细胞代谢过程中许多重要化合物,特别是参与细胞能量代谢的腺苷酸系统都含有磷,利用31P磁共振波谱能在活体中连续观察局部组织内能量代谢的关键化合物,对研究组织器官能量代谢有重要价值[1]。急性氧中毒又称惊厥型氧中毒或氧惊厥。尽管人们很早认识到这种疾病,而且其发病原因非常明确,但目前对其发病的具体机制仍不清楚。有关急性氧中毒研究的报道,以递质代谢失常[2]及药物预防[3]方面的居多。也有人认为急性氧中毒与能量代谢障碍和神经元损伤有关,但其证据不够充分。为进一步明确能量代谢障碍在急性氧中毒发病过程中的地位,本研究采用活体31P磁共振波谱技术研究了急性氧中毒后不同时程大鼠全脑细胞能量代谢和细胞内pH值的变化。
, http://www.100md.com
1 材料和方法
1.1 实验分组及急性氧中毒模型 SD雄性大鼠24只,体质量(250±20) g,由上海西普尔-必凯实验动物有限公司提供。动物随机分成实验组(PO2=700 kPa,n=12)和对照组(n=12),对照组又分成常压空气对照组(n=4)与高压氧氮对照组(PO2=28 kPa,n=8)。将实验组大鼠放入容积为1.8 L的有机玻璃舱内,氧气通风2 min后,随即用氧气在3 min内将舱压升到700 kPa(绝对压,下同),记录动物惊厥大发作的始发时间,出现大发作后即用氧气减压3 min。高压氧氮对照组,将氧气换成含4% 氧气-96% 氮气的混合气体,700 kPa高压停留时间为20 min,空气加减压时间均为3 min,舱内停留时间28 min。常压空气组,仅用空气通风,不加压,舱内停留时间28 min。
1.2 31P-NMR波谱的工作条件 动物经乌拉坦麻醉(1 g/kg,ip)后,放入磁共振谱仪(Bruker BIOSPEC 47/30 )磁体内,使用直径4 cm 的31P-1H 双调谐表面线圈,记录大鼠全脑31P-NMR谱图。观察频率为81.079 9 MHz;谱宽为5 000 Hz;激发脉冲长度110 μs;重复时间1 s;累加次数512次。
, http://www.100md.com
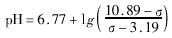
1.3 实验原理(磁共振现象及磁共振谱) 本研究在实际测定中,31P-NMR波谱由脉冲傅立叶变换方法获得,即:用多道发射机同时发射多种频率,使样品中不同化学环境的31P核同时共振。在每次脉冲之后,31P核经历一个弛豫过程,产生自由感应衰减(FID)信号。FID信号是一个时间域函数,经数字化采样后得到一离散序列,通过傅立叶变换,成为频域函数,即磁共振谱。本实验为减少误差,每只动物处理前采样一次,以后每次采样结果均以此次结果为参照,取百分数作为数值。利用如下公式根据Pi化学位移推算脑细胞内pH值(σ为Pi的化学位移):
1.4 统计学处理 各组资料用
±s表示,多组间均数比较用F检验,均数间两两比较用Student-Newman-Kewl法,P<0.05为相差显著界限。
, 百拇医药
2 结 果
2.1 动物行为表现 实验组大鼠均出现惊厥大发作,潜伏期为(17.8±3.17)min。大发作的特点是动物呈现跳跃、翻滚及角弓反张等。高压氮氧组和常压空气组动物均未出现异常表现。
2.2 正常与急性氧中毒后3 h大鼠脑细胞能量代谢的31P-NMR谱图 如图1 A所示,正常脑组织31 P-NMR谱能清楚分辨出6个组分,即:磷酸单脂(PME)、无机磷酸根(Pi)、磷酸肌苷(PCr)和三磷酸腺苷(ATP)的3个磷酸基团( α-ATP,γ-ATP和β-ATP)。急性氧中毒后某些组分的相对含量和Pi的化学位移发生变化(图1 B)。
图 1 正常(A)与急性氧中毒后3 h(B)大鼠脑细胞的31P-NMR谱
, 百拇医药
Fig 1 31P-NMR spectroscopy of brain in rats
of normal(A) and 3 h after 700 kPa acute
oxygen poisoning group (B)
PME:Phosphomonoester; Pi:Inorganic phosphate;
PCr:Phosphocreatine; ATP:Adenosine triphosphate
2.3 大鼠急性氧中毒后全脑细胞PCr/Pi,PCr/γ-ATP与β-ATP/Pi比值的变化 由表1~3可见,PCr/Pi,PCr/γ-ATP与β-ATP/Pi比值均出现类似的变化,即氧中毒大发作1和3 h后 PCr/Pi,PCr/γ-ATP与β-ATP/Pi 比值均显著降低(P<0.05,P<0.01);5 h后,恢复到正常水平;24和48 h后这些比值又下降(P<0.01),而且比早期降低更明显(P<0.05);72 h后恢复到正常水平。表 1 大鼠急性氧中毒后活体全脑31P磁共振谱PCr/Pi的变化
, http://www.100md.com
Tab 1 The changes of PCr/Pi of 31 P-NMR spectra after acute oxygen poisoning in rats in vivo
(
±s) Group
n
Time after actue oxygen poisoning (t/h)
1
3
5
24
48
, http://www.100md.com
72
Air
4
102.7±11.4
100.8±10.8
98.4±11.9
99.4±9.3
100.1±10.5
99.5±12.0
28 kPa oxygen
8
101.2±7.2
, 百拇医药
103.1±8.1
99.6±6.4
103.9±7.7
103.2±9.1
99.9±5.3
700 kPa oxygen
12
88.7±4.6*
87.7±5.2**
99.4±3.9
36.3±6.6**△
, http://www.100md.com
58.0±6.7**△
100.6±4.9
*P<0.05,**P<0.01 vs 28 kPa oxygen group; △ P<0.05 vs 700 kPa oxygen (3 h) group表 2 大鼠急性氧中毒后活体全脑31P磁共振谱PCr/γ-ATP的变化
Tab 2 The changes of PCr/γ-ATP of 31 P-NMR spectra after acute oxygen poisoning in rats in vivo
(
±s)
, 百拇医药
Group
n
Time after actue oxygen poisoning (t/h)
1
3
5
24
48
72
Air
4
100.5±11.7
, 百拇医药 100.4±11.2
99.8±10.5
99.7±9.8
101.1±12.6
100.1±11.5
28 kPa oxygen
8
102.5±5.8
102.1±8.8
98.5±5.1
101.3±8.9
102.3±8.7
, 百拇医药
99.2±5.5
700 kPa oxygen
12
89.2±3.1
84.3±4.5**
97.6±8.9
56.1±4.4**△
71.9±5.9**△
101.9±7.4
**P<0.01 vs 28 kPa oxygen (3 h) group; △ P<0.05 vs 700 kPa oxygen (3 h) group表 3 大鼠急性氧中毒后活体全脑31P磁共振谱β-ATP/Pi的变化
, 百拇医药
Tab 3 The changes of β-ATP/Pi of 31 P-NMR spectra after acute oxygen poisoning in rats in vivo
(
±s) Group
n
Time after actue oxygen poisoning (t/h)
1
3
5
24
48
, http://www.100md.com
72
Air
4
100.5±12.2
101.3±13.4
99.5±10.6
99.8±9.0
100.8±12.5
99.1±10.9
28 kPa oxygen
8
101.6±6.8
, 百拇医药
103.0±6.3
99.2±6.7
101.7±9.3
102.6±9.4
99.6±4.8
700 kPa oxygen
12
76.9±4.6*
72.7±5.2**
100.3±3.9
44.0±6.6**△
, 百拇医药
49.5±6.7**△
100.2±4.5
* P<0.05,**P<0.01 vs 28 kPa oxygen group; △ P<0.05 vs 700 kPa oxygen (3 h) group2.4 大鼠急性氧中毒后全脑细胞pH值的变化 图2可见惊厥发作后1 h,脑细胞内pH值降低,提示脑细胞出现酸中毒倾向;至惊厥发作3 h后,脑细胞内pH值仍低于对照组(P<0.05);5 h后,恢复至正常;24 h后细胞内pH值显著升高(P<0.01),提示大脑出现细胞碱中毒;48和72 h细胞内pH值恢复到正常。
图 2 急性氧中毒后大鼠脑细胞内pH的变化
, 百拇医药
Fig 2 The changes of intracellular pH in brain
following acute oxygen poisoning in rats
○:Air; ●:28 kPa oxygen; △:700 kPa oxygen
*P<0.05,**P<0.01 vs 28 kPa oxygen group
3 讨 论
ATP和 PCr是机体细胞内重要的能量载体,在细胞内能量和物质代谢过程中发挥至关重要的作用。PCr主要起临时能量储备功能,ATP直接为细胞活动供能。细胞活动需要能量时,首先动用ATP。正常情况下,细胞通过正常的物质代谢使ATP浓度维持一定水平,细胞活动过度增加时,ATP大量消耗,细胞动员PCr,使之迅速转化成ATP,维持ATP的浓度。所以PCr 与ATP的比值减小说明细胞能量消耗过大,储备减少。31P磁共振波谱可检测细胞内ATP和 PCr的含量,并能连续无损伤活体观察,是非常理想的能量代谢研究技术[1]。 Chu等[6]用活体磁共振波谱研究发现,颞叶癫
患者其患侧颞叶PCr/Pi与γ-ATP/Pi 比值与正常人相比降低15%~30%,而且患侧颞叶这些比值较对照侧也明显降低。氧惊厥大发作属于Tonic-Clonic类癫
,Sander等[2,4]将大鼠暴露于500 kPa的氧压下1.5 h,使大鼠发生惊厥,并且脑内的ATP水平低于正常浓度的50%,用琥珀酸可以保护急性氧中毒,同时也可使脑内ATP含量恢复到正常水平,说明ATP降低是氧中毒产生的一个原因。高压氧能够抑制细胞呼吸链与氧化磷酸化过程,造成体内ATP的供应减少。体外研究表明,高压氧暴露能降低细胞内Na+,升高细胞外K+,可能是由于ATP减少所引起[5,7]。但氧中毒后其能量代谢变化的后续过程,以及细胞内pH值的变化情况,目前国内外均未见报道。本研究用活体磁共振波谱方法,发现氧中毒后动物存在可逆性能量代谢障碍,具体表现为:氧中毒大发作1和3 h后 PCr/Pi,PCr/γ-ATP与β-ATP/Pi 比值均显著降低,提示PCr含量降低,出现能量缺乏; 5 h后,基本恢复正常;24和48 h后这些比值又出现下降,且降低更为明显,即再次出现能量缺乏;72 h后又恢复正常。结果表明,氧中毒1和3 h后动物出现第一次能量代谢障碍,24和48 h后出现第二次能量代谢障碍;而且,两次能量降低有不同的特点,第二次能量降低的程度更明显,持续时间更长。产生第一次能量代谢障碍的原因,可能是高压氧导致惊厥时,没有足够的能量储备的脑内神经元剧烈放电,消耗能量得不到及时补充,但惊厥消失后,能量消耗减少,机体从外周动员能量,能量状况有所恢复,从而形成一过性能量缺乏;产生第二次能量代谢障碍的原因可能是因为高压氧抑制了许多与能量代谢有关的酶,无法维持大脑正常活动的需求,导致代谢指标的降低。但高压氧对酶的抑制作用,随着时间的延长,也可恢复[6],因此氧中毒后72 h,各项指标又一次恢复正常。
, http://www.100md.com
本研究发现,急性氧中毒大鼠在惊厥发作后1 h,脑细胞内出现酸中毒倾向;至惊厥发作3 h后,脑细胞内pH值有所恢复;5 h后,恢复至正常;24 h后出现细胞内碱中毒;48 h后恢复至正常。氧中毒后脑细胞酸中毒的原因可能由于动物呼吸高压氧时,血液内高浓度氧抑制呼吸,体内CO2浓度过高,机体出现呼吸性酸中毒;而且,此时脑血管收缩,不利于脑组织内CO2的清除[8];同时,由于与能量代谢有关的酶受到抑制造成代谢障碍,以及自由基对脑细胞的直接损伤作用等导致的代谢性酸中毒,更加剧了脑细胞酸中毒程度。离开高压氧环境后,动物为排除体内的CO2而过度换气,导致CO2浓度降低,同时与代谢有关的酶活性逐渐恢复,酸中毒和高浓度CO2使脑血流增快,使酸中毒减轻,使pH值恢复正常。后期碱中毒发生的原因目前尚无法解释。
本研究用活体磁共振波谱的方法,发现大鼠急性氧中毒后脑内能量代谢出现明显抑制,这与传统的观点相符合。我们还发现,大鼠急性氧中毒后能量代谢障碍存在先抑制-后恢复-再抑制的规律性改变,脑细胞先出现酸中毒,再转变为碱中毒。当然,采用局域谱或化学位移成像检测不同脑区能量代谢和pH值变化的特点[9,10],对研究氧中毒后能量代谢障碍和酸碱平衡紊乱,探讨急性氧中毒发病机制会更有意义,我们将在今后工作中进行这方面的研究。
, http://www.100md.com
【参考文献】
[1]Ravalec X,Le Tallec N,Carre F,et al.Kinetics of PCr to ATP and beta-ATP to beta-ADP phosphoryl conversion are modified in working rat skeletal muscle after training[J].MAGMA,1999,9(1-2):52-56.
[2]Sander AP,Hall IH,Cavanaugh PJ,et al.Protective agent against hyperbaric oxygen poisoning[J].Science,1965,150(865):1803-1804.
[3]Whelan HT,Bajic DM,Karlovits SM,et al.Use of cytochrome-P450 mono-oxygenase 2 E1 isozyme inhibitors to delay seizures caused by central nervous system oxygen poisoning[J].Aviat Space Environ Med,1998,69(5):480-485.
, 百拇医药
[4]Sander AP,Hall IH,Cavanaugh PJ,et al.Effects of hyperbaric oxygenation on metabolism I ATP concentration in rat brain,liver and kidney[J].Proc Soc Exp Biol Med,1966,121(1):32-35.
[5]Joanny P,Corriol J,Brue F.Hyperbaric oxygen:effects on metabolism and ionic movement in cerebral cortex slices[J].Science,1970,167(924):1508-1511.
[6]Chu WJ,Hetherington HP,Kuzniecky RI,et al.Lateralization of human temporal lobe epilepsy by 31P NMR spectroscopic imaging at 4.1 T[J].Neurology,1998,51(2):472-477.
, 百拇医药
[7]Gyula B,Mechael J,Niels H.Inhibitory effect of high oxygen pressure on potassium-induced activation of pyruvate dehydrogenase and glucose metabolism in rat brain slices[J].Biochem Biophys Acta,1977,462(4):493-496.
[8]Chavko M,Braisted JC,Outsa NJ,et al.Role of cerebral blood flow in seizures from hyperbaric oxygen exposure[J].Brain Res,1998,791(1-2):75-79.
[9]Pan JW,Bebin EM,Chu WJ,et al.Ketosis and epilepsy:31P spectroscopic imaging at 4.1 T[J].Epilepsia,1999,40(6):703-709.
[10]Volz HP,Rzanny R,Riehemann S,et al.31P magnetic resonance spectroscopy in the frontal lobe of major depressed patients[J].Eur Arch Psych Clin Neurosci,1998,248(6):289-294.
【收稿日期】1999-11-19
【修回日期】2000-03-03, 百拇医药
单位:
关键词:高压氧;氧中毒;磁共振;磷
第二军医大学学报000408 【摘要】目的:探讨大鼠急性氧中毒后脑的能量代谢产物与脑细胞内pH变化的规律。方法:采用磁共振方法,用4.7 T动物磁共振谱仪,检测氧中毒后不同时程各种磷酸化合物与无机磷酸根(Pi)、磷酸肌酸(PCr)与γ-ATP以及β-ATP与Pi之间的比值,并根据Pi的化学位移推算脑细胞内pH值。结果:氧中毒组动物出舱1和3 h后 PCr/Pi,PCr/γ-ATP以及β-ATP/Pi值均显著降低;5 h后恢复正常;24和48 h后这些比值又降低,而且比早期降低更明显;72 h后恢复到正常水平。细胞内pH值在动物出舱后1和3 h出现显著降低;5 h后恢复正常;24 h后,细胞内pH明显升高;48 h后恢复正常。结论:氧中毒后大脑出现能量代谢障碍及细胞内酸碱代谢紊乱。
, 百拇医药
【中图分类号】R 845.27 【文献标识码】A
【文章编号】0258-879X(2000)04-0326-04
31P Nuclear magnetic resonance spectroscopy studies on global cerebral cellular energy metabolism following acute oxygen poisoning in rats
SUN Xue-Jun,TAO Heng-Yi,LIAN Qing-Lin,YE Chao-Hui
(1.Department of Diving Medicine,Faculty of Navy Medicine,Second Military Medical University,Shanghai 200433,China)
, 百拇医药
LI Li-Yun,LU Guang,YUE Yong
(Laboratory of Magnetic Resonance,Wuhan Institute of Physics and Mathematics,Chinese Academy of Sciences)
【ABSTRACT】Objective:To evaluate cerebral cellular energy metabolism and pH in the rat global cerebral cellular following acute oxygen poisoning.Methods:All 31P NMR spectra were performed on a high-field,4.7 T,NMR spectroscopic imaging system using a 31P/1H double-tuned surface coil.Intracellular pH were determined according to the spectra of pi.Results:Phosphocreatine to inorganic phosphate (PCr/Pi),PCr to gamma adenosine triphosphate (PCr/γ-ATP) and adenosine triphosphate to inorganic phosphate (β-ATP/Pi) decreased compared with the corresponding ratios in control group in the entire brain at 1 and 3 h after exposing HBO.At 5 h,no significant decrease of the ratios was found.At 24 h,the ratios were decreased significantly again.At 72 h,the ratios prestored to normal level.Intracellular pH was significantly decreased at 1 and 3 h after exposing HBO.At 5 h,no significant change of the intracellular pH was found.At 24 h,the pH was increased significantly.At 48 h,the pH restored to normal level.Conclusion:There are energy failure and intracellular acidosis and alkalosis in cerebral cellular after oxygen poisoning in rats.
, http://www.100md.com
【KEY WORDS】hyperbaric oxygenation; oxygen poisoning; nuclear magnetic resonance,phosphorus
应用磁共振技术研究动物和人活体器官的细胞代谢,是近10年来发展起来的一项无损伤检测新技术,适用于对动物和人的生理和病理状态的连续观察。细胞代谢过程中许多重要化合物,特别是参与细胞能量代谢的腺苷酸系统都含有磷,利用31P磁共振波谱能在活体中连续观察局部组织内能量代谢的关键化合物,对研究组织器官能量代谢有重要价值[1]。急性氧中毒又称惊厥型氧中毒或氧惊厥。尽管人们很早认识到这种疾病,而且其发病原因非常明确,但目前对其发病的具体机制仍不清楚。有关急性氧中毒研究的报道,以递质代谢失常[2]及药物预防[3]方面的居多。也有人认为急性氧中毒与能量代谢障碍和神经元损伤有关,但其证据不够充分。为进一步明确能量代谢障碍在急性氧中毒发病过程中的地位,本研究采用活体31P磁共振波谱技术研究了急性氧中毒后不同时程大鼠全脑细胞能量代谢和细胞内pH值的变化。
, http://www.100md.com
1 材料和方法
1.1 实验分组及急性氧中毒模型 SD雄性大鼠24只,体质量(250±20) g,由上海西普尔-必凯实验动物有限公司提供。动物随机分成实验组(PO2=700 kPa,n=12)和对照组(n=12),对照组又分成常压空气对照组(n=4)与高压氧氮对照组(PO2=28 kPa,n=8)。将实验组大鼠放入容积为1.8 L的有机玻璃舱内,氧气通风2 min后,随即用氧气在3 min内将舱压升到700 kPa(绝对压,下同),记录动物惊厥大发作的始发时间,出现大发作后即用氧气减压3 min。高压氧氮对照组,将氧气换成含4% 氧气-96% 氮气的混合气体,700 kPa高压停留时间为20 min,空气加减压时间均为3 min,舱内停留时间28 min。常压空气组,仅用空气通风,不加压,舱内停留时间28 min。
1.2 31P-NMR波谱的工作条件 动物经乌拉坦麻醉(1 g/kg,ip)后,放入磁共振谱仪(Bruker BIOSPEC 47/30 )磁体内,使用直径4 cm 的31P-1H 双调谐表面线圈,记录大鼠全脑31P-NMR谱图。观察频率为81.079 9 MHz;谱宽为5 000 Hz;激发脉冲长度110 μs;重复时间1 s;累加次数512次。
, http://www.100md.com
1.3 实验原理(磁共振现象及磁共振谱) 本研究在实际测定中,31P-NMR波谱由脉冲傅立叶变换方法获得,即:用多道发射机同时发射多种频率,使样品中不同化学环境的31P核同时共振。在每次脉冲之后,31P核经历一个弛豫过程,产生自由感应衰减(FID)信号。FID信号是一个时间域函数,经数字化采样后得到一离散序列,通过傅立叶变换,成为频域函数,即磁共振谱。本实验为减少误差,每只动物处理前采样一次,以后每次采样结果均以此次结果为参照,取百分数作为数值。利用如下公式根据Pi化学位移推算脑细胞内pH值(σ为Pi的化学位移):
1.4 统计学处理 各组资料用
, 百拇医药
2 结 果
2.1 动物行为表现 实验组大鼠均出现惊厥大发作,潜伏期为(17.8±3.17)min。大发作的特点是动物呈现跳跃、翻滚及角弓反张等。高压氮氧组和常压空气组动物均未出现异常表现。
2.2 正常与急性氧中毒后3 h大鼠脑细胞能量代谢的31P-NMR谱图 如图1 A所示,正常脑组织31 P-NMR谱能清楚分辨出6个组分,即:磷酸单脂(PME)、无机磷酸根(Pi)、磷酸肌苷(PCr)和三磷酸腺苷(ATP)的3个磷酸基团( α-ATP,γ-ATP和β-ATP)。急性氧中毒后某些组分的相对含量和Pi的化学位移发生变化(图1 B)。
图 1 正常(A)与急性氧中毒后3 h(B)大鼠脑细胞的31P-NMR谱
, 百拇医药
Fig 1 31P-NMR spectroscopy of brain in rats
of normal(A) and 3 h after 700 kPa acute
oxygen poisoning group (B)
PME:Phosphomonoester; Pi:Inorganic phosphate;
PCr:Phosphocreatine; ATP:Adenosine triphosphate
2.3 大鼠急性氧中毒后全脑细胞PCr/Pi,PCr/γ-ATP与β-ATP/Pi比值的变化 由表1~3可见,PCr/Pi,PCr/γ-ATP与β-ATP/Pi比值均出现类似的变化,即氧中毒大发作1和3 h后 PCr/Pi,PCr/γ-ATP与β-ATP/Pi 比值均显著降低(P<0.05,P<0.01);5 h后,恢复到正常水平;24和48 h后这些比值又下降(P<0.01),而且比早期降低更明显(P<0.05);72 h后恢复到正常水平。表 1 大鼠急性氧中毒后活体全脑31P磁共振谱PCr/Pi的变化
, http://www.100md.com
Tab 1 The changes of PCr/Pi of 31 P-NMR spectra after acute oxygen poisoning in rats in vivo
(
n
Time after actue oxygen poisoning (t/h)
1
3
5
24
48
, http://www.100md.com
72
Air
4
102.7±11.4
100.8±10.8
98.4±11.9
99.4±9.3
100.1±10.5
99.5±12.0
28 kPa oxygen
8
101.2±7.2
, 百拇医药
103.1±8.1
99.6±6.4
103.9±7.7
103.2±9.1
99.9±5.3
700 kPa oxygen
12
88.7±4.6*
87.7±5.2**
99.4±3.9
36.3±6.6**△
, http://www.100md.com
58.0±6.7**△
100.6±4.9
*P<0.05,**P<0.01 vs 28 kPa oxygen group; △ P<0.05 vs 700 kPa oxygen (3 h) group表 2 大鼠急性氧中毒后活体全脑31P磁共振谱PCr/γ-ATP的变化
Tab 2 The changes of PCr/γ-ATP of 31 P-NMR spectra after acute oxygen poisoning in rats in vivo
(
, 百拇医药
Group
n
Time after actue oxygen poisoning (t/h)
1
3
5
24
48
72
Air
4
100.5±11.7
, 百拇医药 100.4±11.2
99.8±10.5
99.7±9.8
101.1±12.6
100.1±11.5
28 kPa oxygen
8
102.5±5.8
102.1±8.8
98.5±5.1
101.3±8.9
102.3±8.7
, 百拇医药
99.2±5.5
700 kPa oxygen
12
89.2±3.1
84.3±4.5**
97.6±8.9
56.1±4.4**△
71.9±5.9**△
101.9±7.4
**P<0.01 vs 28 kPa oxygen (3 h) group; △ P<0.05 vs 700 kPa oxygen (3 h) group表 3 大鼠急性氧中毒后活体全脑31P磁共振谱β-ATP/Pi的变化
, 百拇医药
Tab 3 The changes of β-ATP/Pi of 31 P-NMR spectra after acute oxygen poisoning in rats in vivo
(
n
Time after actue oxygen poisoning (t/h)
1
3
5
24
48
, http://www.100md.com
72
Air
4
100.5±12.2
101.3±13.4
99.5±10.6
99.8±9.0
100.8±12.5
99.1±10.9
28 kPa oxygen
8
101.6±6.8
, 百拇医药
103.0±6.3
99.2±6.7
101.7±9.3
102.6±9.4
99.6±4.8
700 kPa oxygen
12
76.9±4.6*
72.7±5.2**
100.3±3.9
44.0±6.6**△
, 百拇医药
49.5±6.7**△
100.2±4.5
* P<0.05,**P<0.01 vs 28 kPa oxygen group; △ P<0.05 vs 700 kPa oxygen (3 h) group2.4 大鼠急性氧中毒后全脑细胞pH值的变化 图2可见惊厥发作后1 h,脑细胞内pH值降低,提示脑细胞出现酸中毒倾向;至惊厥发作3 h后,脑细胞内pH值仍低于对照组(P<0.05);5 h后,恢复至正常;24 h后细胞内pH值显著升高(P<0.01),提示大脑出现细胞碱中毒;48和72 h细胞内pH值恢复到正常。
图 2 急性氧中毒后大鼠脑细胞内pH的变化
, 百拇医药
Fig 2 The changes of intracellular pH in brain
following acute oxygen poisoning in rats
○:Air; ●:28 kPa oxygen; △:700 kPa oxygen
*P<0.05,**P<0.01 vs 28 kPa oxygen group
3 讨 论
ATP和 PCr是机体细胞内重要的能量载体,在细胞内能量和物质代谢过程中发挥至关重要的作用。PCr主要起临时能量储备功能,ATP直接为细胞活动供能。细胞活动需要能量时,首先动用ATP。正常情况下,细胞通过正常的物质代谢使ATP浓度维持一定水平,细胞活动过度增加时,ATP大量消耗,细胞动员PCr,使之迅速转化成ATP,维持ATP的浓度。所以PCr 与ATP的比值减小说明细胞能量消耗过大,储备减少。31P磁共振波谱可检测细胞内ATP和 PCr的含量,并能连续无损伤活体观察,是非常理想的能量代谢研究技术[1]。 Chu等[6]用活体磁共振波谱研究发现,颞叶癫
, http://www.100md.com
本研究发现,急性氧中毒大鼠在惊厥发作后1 h,脑细胞内出现酸中毒倾向;至惊厥发作3 h后,脑细胞内pH值有所恢复;5 h后,恢复至正常;24 h后出现细胞内碱中毒;48 h后恢复至正常。氧中毒后脑细胞酸中毒的原因可能由于动物呼吸高压氧时,血液内高浓度氧抑制呼吸,体内CO2浓度过高,机体出现呼吸性酸中毒;而且,此时脑血管收缩,不利于脑组织内CO2的清除[8];同时,由于与能量代谢有关的酶受到抑制造成代谢障碍,以及自由基对脑细胞的直接损伤作用等导致的代谢性酸中毒,更加剧了脑细胞酸中毒程度。离开高压氧环境后,动物为排除体内的CO2而过度换气,导致CO2浓度降低,同时与代谢有关的酶活性逐渐恢复,酸中毒和高浓度CO2使脑血流增快,使酸中毒减轻,使pH值恢复正常。后期碱中毒发生的原因目前尚无法解释。
本研究用活体磁共振波谱的方法,发现大鼠急性氧中毒后脑内能量代谢出现明显抑制,这与传统的观点相符合。我们还发现,大鼠急性氧中毒后能量代谢障碍存在先抑制-后恢复-再抑制的规律性改变,脑细胞先出现酸中毒,再转变为碱中毒。当然,采用局域谱或化学位移成像检测不同脑区能量代谢和pH值变化的特点[9,10],对研究氧中毒后能量代谢障碍和酸碱平衡紊乱,探讨急性氧中毒发病机制会更有意义,我们将在今后工作中进行这方面的研究。
, http://www.100md.com
【参考文献】
[1]Ravalec X,Le Tallec N,Carre F,et al.Kinetics of PCr to ATP and beta-ATP to beta-ADP phosphoryl conversion are modified in working rat skeletal muscle after training[J].MAGMA,1999,9(1-2):52-56.
[2]Sander AP,Hall IH,Cavanaugh PJ,et al.Protective agent against hyperbaric oxygen poisoning[J].Science,1965,150(865):1803-1804.
[3]Whelan HT,Bajic DM,Karlovits SM,et al.Use of cytochrome-P450 mono-oxygenase 2 E1 isozyme inhibitors to delay seizures caused by central nervous system oxygen poisoning[J].Aviat Space Environ Med,1998,69(5):480-485.
, 百拇医药
[4]Sander AP,Hall IH,Cavanaugh PJ,et al.Effects of hyperbaric oxygenation on metabolism I ATP concentration in rat brain,liver and kidney[J].Proc Soc Exp Biol Med,1966,121(1):32-35.
[5]Joanny P,Corriol J,Brue F.Hyperbaric oxygen:effects on metabolism and ionic movement in cerebral cortex slices[J].Science,1970,167(924):1508-1511.
[6]Chu WJ,Hetherington HP,Kuzniecky RI,et al.Lateralization of human temporal lobe epilepsy by 31P NMR spectroscopic imaging at 4.1 T[J].Neurology,1998,51(2):472-477.
, 百拇医药
[7]Gyula B,Mechael J,Niels H.Inhibitory effect of high oxygen pressure on potassium-induced activation of pyruvate dehydrogenase and glucose metabolism in rat brain slices[J].Biochem Biophys Acta,1977,462(4):493-496.
[8]Chavko M,Braisted JC,Outsa NJ,et al.Role of cerebral blood flow in seizures from hyperbaric oxygen exposure[J].Brain Res,1998,791(1-2):75-79.
[9]Pan JW,Bebin EM,Chu WJ,et al.Ketosis and epilepsy:31P spectroscopic imaging at 4.1 T[J].Epilepsia,1999,40(6):703-709.
[10]Volz HP,Rzanny R,Riehemann S,et al.31P magnetic resonance spectroscopy in the frontal lobe of major depressed patients[J].Eur Arch Psych Clin Neurosci,1998,248(6):289-294.
【收稿日期】1999-11-19
【修回日期】2000-03-03, 百拇医药